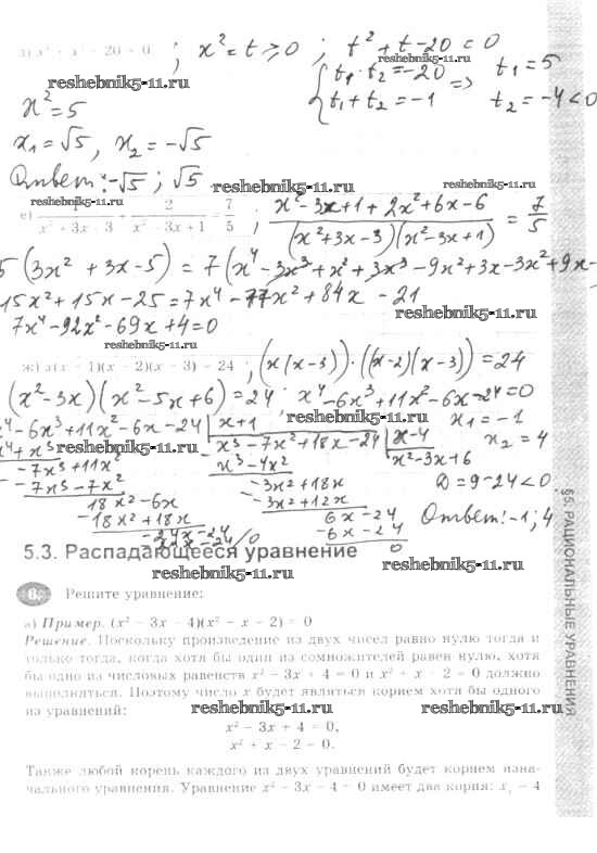
Алгебра за 8 класс Журавлев Рабочая тетрадь УМК Экзамен параграф 5 стр.51
Решебник / глава 2 / параграф 5 / стр.51

Глава 1
Параграф 1
Параграф 2
Параграф 3
Дополнение к главе 1
Глава 2
Параграф 4
Параграф 5
Дополнение к главе 2
Глава 3
Параграф 6
Параграф 7
Параграф 8
Дополнение к главе 3
Глава 4
Параграф 9
Параграф 10
Дополнения к главе 4
Готовая домашняя работа с ответами по Алгебре за 8 класс Журавлев, Перепелкина Рабочая тетрадь УМК Экзамен 2013 ФГОС - Параграф 5 стр.51