Алгебра за 8 класс Потапов Дидактические материалы МГУ - школе Просвещение ср №22 вариант 1
Решебник / самостоятельная работа / ср №22 / вариант 1

Контрольные работы
КР №1
КР №2
КР №3
КР №4
КР №5
КР №6
КР №7
Самостоятельные работы
СР №1. Числовые неравенства. Числовые промежутки
СР №2. Функция. График функции
СР №3. Квадратный корень из числа
СР №4. Преобразование выражений, содержащих квадратные корни
СР №5. Квадратный трехчлен
СР №6. Квадратные уравнения
СР №7. Решение задач при помощи квадратных уравнений
СР №8. Рациональные уравнения
СР №9. Решение задач при помощи рациональных уравнений
СР №10. Замена неизвестного при решении рациональных уравнений
СР №11. Делимость многочленов
СР №12. Линейные уравнения с параметром
СР №13. Квадратные уравнения с параметром
СР №14. Уравнения, содержащие модули
СР №15. Линейная функция
СР №16. Функции y = x, y = [x], y = {x}
СР №17. Квадратичная функция
СР №18. Функция у = k:х-х₀ + y₀
СР №19. Уравнения, содержащие модули
СР №20. Графики функций, содержащих модули
СР №21. Системы уравнений первой и второй степени
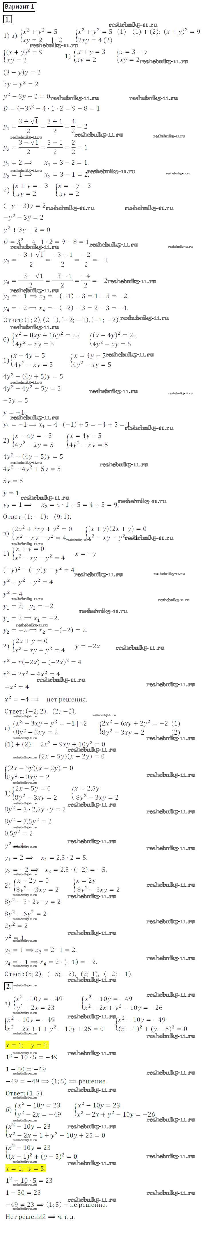
СР №22. Системы уравнений второй степени
СР №23. Системы рациональных уравнений
СР №24. Системы линейных уравнений с параметром
СР №25. Решение задач при помощи систем уравнений
СР №26. Решение уравнений в целых числах
СР №27. Графический способ решения систем уравнений
СР №28. Графический способ решения задач с параметром
Готовая домашняя работа с ответами по Алгебре за 8 класс Потапов, Шевкин Дидактические материалы МГУ - школе Просвещение 2017 ФГОС - СР №22. Системы уравнений второй степени вариант 1