Алгебра за 8 класс Евстафьева Дидактические материалы Просвещение п-36 Вариант 2
Решебник №1 / задание / п-36 / вариант 2

Решебник №2 / задание / п-36 / вариант 2

Обучающие работы
О-1. Повторение. Действия с одночленами и многочленами
О-2. Алгебраические дроби
О-3. Основное свойство дроби
О-4. Сложение и вычитание алгебраических дробей
О-5. Умножение и деление дробей, возведение в степень
О-6. Совместные действия с алгебраическими дробями
О-7. Степень с целым показателем
О-8. Свойства степени с целым показателем
О-9. Решение уравнений и задач
О-10. Извлечение квадратного корня
О-11. Иррациональные числа
О-12. Решение уравнений вида х2 = а
О-13. Свойства квадратного корня
О-14. Преобразование выражений, содержащих квадратные корни
О-15. Кубический корень
О-16. Квадратные уравнения
О-17. Решение квадратных уравнений по формуле корней
О-18. Вторая формула корней квадратного уравнения
О-19. Решение задач
О-20. Неполные квадратные уравнения
О-21. Теорема Виета
О-22. Разложение квадратного трехчлена на множители
О-23. Линейное уравнение с двумя переменными
О-24. График линейного уравнения с двумя переменными
О-25. Уравнение прямой вида у = kx + l
О-26. Системы уравнений. Решение систем уравнений способом сложения
О-27. Решение систем уравнений способом подстановки
О-28. Решение задач с помощью систем уравнений
О-29. Задачи на координатной плоскости
О-30. Чтение графиков
О-31. Что такое функция
О-32. График функции
О-33. Свойства функции
О-34. Линейная функция
О-35. Функция y = k:x и ее график
О-36. Решение комбинаторных задач
О-37. Статистические характеристики
О-38. Вероятность равновозможных событий
О-39. Сложные эксперименты
О-40. Геометрические вероятности
О-41. Уравнения с параметрами
Проверочные задания
П-1. Алгебраические дроби
П-2. Основное свойство дроби
П-3. Приведение дробей к новому знаменателю и сокращение дробей
П-4. Сокращение дробей
П-5. Сложение и вычитание дробей
П-6. Сложение и вычитание дробей
П-7. Сложение и вычитание дробей
П-8. Умножение, деление и возведение в степень
П-9. Умножение, деление и возведение в степень
П-10. Все действия с алгебраическими дробями
П-11. Все действия с алгебраическими дробями
П-12. Определение степени с целым показателем
П-13. Стандартный вид числа
П-14. Свойства степени с целым показателем
П-15. Решение задач
П-16. Квадратные корни
П-17. Квадратные корни
П-18. Квадратные корни
П-19. Уравнения вида х2 = a
П-20. Неполные квадратные уравнения
П-21. Теорема Виета
П-22. Разложение квадратного трехчлена на множители
П-23. Линейное уравнение с двумя переменными
П-24. График линейного уравнения с двумя переменными
П-25. Уравнение прямой вида у = kx + l
П-26. Системы уравнений. Решение систем уравнений способом сложения
П-27. Решение систем уравнений способом подстановки
П-28. Решение задач с помощью систем уравнений
П-29. Задачи на координатной плоскости
П-30. Чтение графиков
П-31. Решение неполных квадратных уравнений
П-32. Теорема Виета
П-33. Теорема Виета
П-34. Теорема Виета
П-35. Разложение квадратного трехчлена на множители
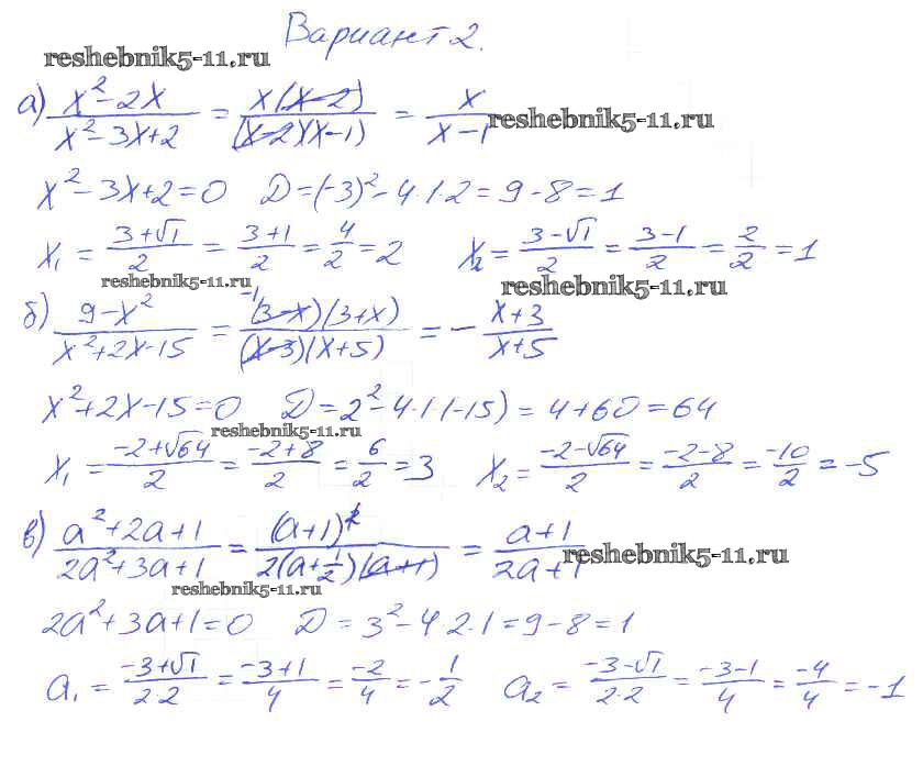
П-36. Разложение квадратного трехчлена на множители
П-37. Линейное уравнение с двумя переменными и его график
П-38. Уравнение прямой вида у = kx + I
П-39. Системы уравнений. Решение систем уравнений способом сложения
П-40. Геометрические вероятности
П-41. Решение задач с помощью систем уравнений
П-42. Задачи на координатной плоскости
П-43. Чтение графиков
П-44. Что такое функция
П-45. График функции
П-46. Свойства функций
П-47. Линейная функция
П-48. Функция y = k:x и ее график
П-49. Статистические характеристики
П-50. Вероятность равновозможных событий
П-51. Геометрические вероятности
Проверь себя. Страницы
Готовая домашняя работа с ответами по Алгебре за 8 класс Евстафьева, Карп Дидактические материалы Просвещение 2017 ФГОС - П-36. Разложение квадратного трехчлена на множители Вариант 2