Алгебра за 8 класс Попов Дидактические материалы УМК Экзамен ср-8 вариант-2
Решебник / самостоятельная работа / ср-8 / вариант-2

Контрольные работы
КР-1. Алгебраические дроби
КР-2. Функция y = √x. Свойства квадратного корня
КР-3. Квадратичная функция. Функция y = k:x
КР-4. Квадратные уравнения
КР-5. Неравенства
КР-6. Неравенства
КР-7. Итоговая
Олимпиадные задания и задания повышенной трудности
Самостоятельные работы
СР-1. Основные понятия
СР-2. Основное свойство алгебраической дроби
СР-3. Сложение и вычитание алгебраических дробей с одинаковыми знаменателями
СР-4. Сложение и вычитание алгебраических дробей с разными знаменателями
СР-5. Умножение и деление алгебраических дробей. Возведение алгебраической дроби в степень
СР-6. Преобразование рациональных выражений
СР-7. Первые представления о рациональных уравнениях
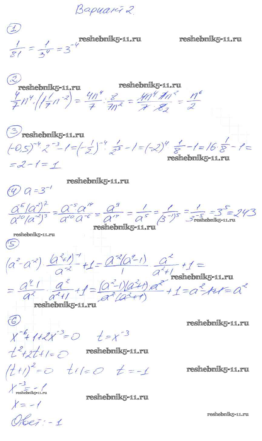
СР-8. Степень с отрицательным целым показателем
СР-9. Рациональные числа
СР-10. Понятие квадратного корня из неотрицательного числа
СР-11. Иррациональные числа
СР-12. Множество действительных чисел
СР-13. Функция y = √x, её свойства и график
СР-14. Свойства квадратных корней
СР-15. Преобразование выражений, содержащих операцию извлечения квадратного корня
СР-16. Модуль действительного числа
СР-17. Функция y = kx², её свойства и график
СР-18. Функция y = k:x, её свойства и график
СР-19. Как построить график функции у = f(x + I), если известен график функции у = f(x)
СР-20. Как построить график функции у = f(x) + m, если известен график функции у = f(x)
СР-21. Как построить график функции у = f(x + l) + m, если известен график функции у = f(x)
СР-22. Функция y = ax² + bx + c, её свойства и график
СР-23. Графическое решение квадратных уравнений
СР-24. Основные понятия
СР-25. Формулы корней квадратных уравнений
СР-26. Рациональные уравнения
СР-27. Рациональные уравнения как математические модели реальных ситуаций
СР-28. Ещё одна формула корней квадратного уравнения
СР-29. Теорема Виета
СР-30. Иррациональные уравнения
СР-31. Свойства числовых неравенств
СР-32. Исследование функций на монотонность
СР-33. Решение линейных неравенств
СР-34. Решение квадратных неравенств
СР-35. Приближённые значения действительных чисел
СР-36. Стандартный вид положительного числа
Готовая домашняя работа с ответами по Алгебре за 8 класс Попов Дидактические материалы УМК Экзамен 2014 ФГОС - СР-8. Степень с отрицательным целым показателем вариант-2