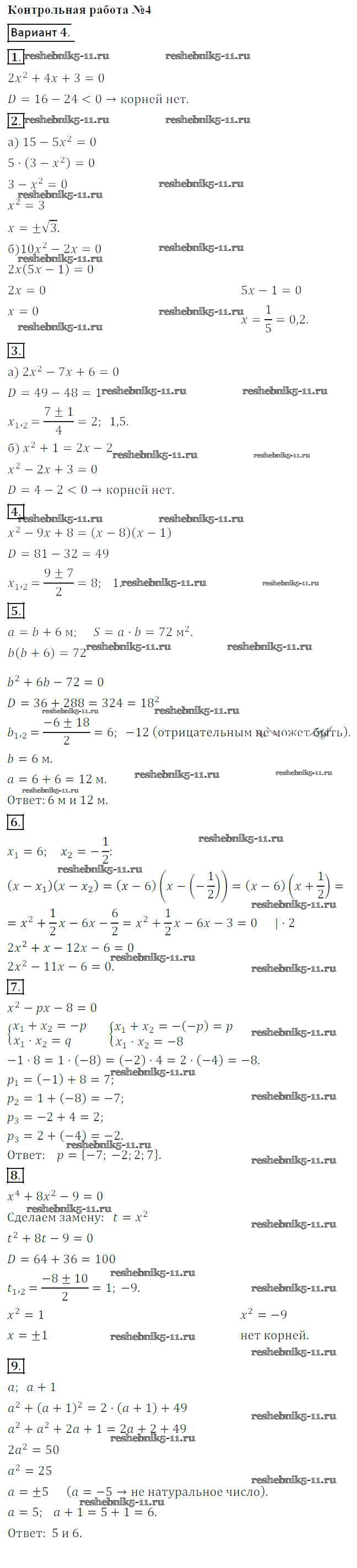
Алгебра за 8 класс Кузнецова Контрольные работы Просвещение контрольная работа 4. вариант 4
Решебник / контрольная работа 4. вариант / 4

Контрольная работа 1. Варианты
Контрольная работа 2. Варианты
Контрольная работа 3. Варианты
Контрольная работа 4. Варианты
Контрольная работа 5. Варианты
Контрольная работа 6. Варианты
Контрольная работа 7. Варианты
Контрольная работа 8. Варианты
Контрольная работа 9. Варианты
Готовая домашняя работа с ответами по Алгебре за 8 класс Кузнецова, Минаева, Рослова, Суворова Контрольные работы Просвещение 2016 ФГОС - Контрольная работа 4. Варианты 4