Алгебра за 8 класс Феоктистов Дидактические материалы Мнемозина итоговая кр вариант 2
Решебник / контрольная работа / итоговая кр / вариант 2

Контрольные работы
КР-1. Дроби
КР-2. Целые числа. Делимость чисел
КР-3. Действительные числа. Квадратные корни
КР-4. Квадратные уравнения
КР-5. Неравенства
КР-6. Степень с целым показателем
КР-7. Функции и графики
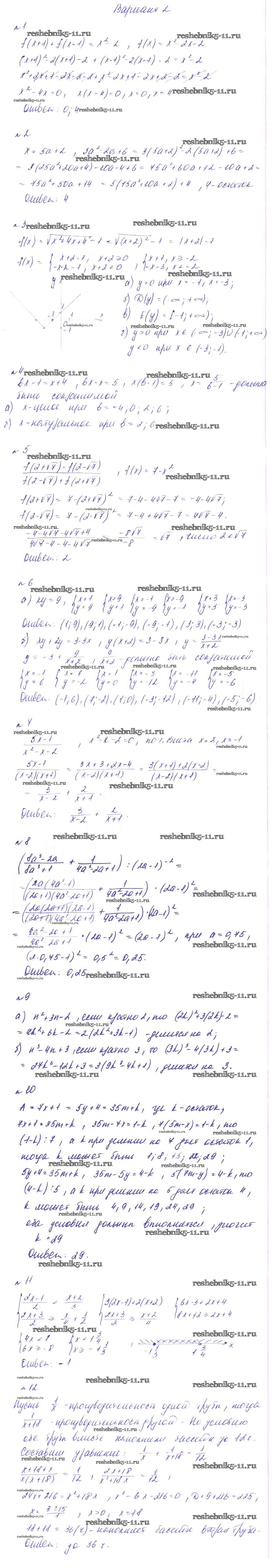
Итоговая КР
Самостоятельные работы
СР-1. Повторение материала 7-го класса
СР-2. Дроби и их свойства
СР-3. Сложение и вычитание дробей
СР-4. Умножение, возведение в степень и деление дробей
СР-5. Преобразование рациональных выражений
СР-6. Множество натуральных и множество целых чисел
СР-7. Свойства делимости, делимость суммы и произведения
СР-8. Деление с остатком, признаки делимости, простые и составные числа
СР-9. Рациональные числа, действительные числа, числовые промежутки
СР-10. Арифметические квадратный корень. Функция y = √x
СР-11. Свойства арифметического квадратного корня
СР-12. Преобразование сложных радикалов
СР-13. Квадратные уравнения
СР-14. Биквадратные уравнения. Решение задач с помощью квадратных уравнений
СР-15. Свойство корней квадратного уравнения, симметрические многочлены, разложение квадратного трехчлена на множ
СР-16. Решение дробно-рациональных уравнений
СР-17. Решение задач с помощью дробно-рациональных уравнений
СР-18. Свойства числовых неравенств, оценка значений выражений, доказательство неравенств
СР-19. Решение неравенств с одной переменной
СР-20. Неравенства, содержащие модуль, системы и совокупности неравенств
СР-21. Степень с целым показателем и её свойства
СР-22. Преобразование выражений, содержащих степени с целыми показателями. Стандартный вид числа
СР-23. Преобразование графиков функций
СР-24. Функции y = x в минус первой и минус второй степени
Готовая домашняя работа с ответами по Алгебре за 8 класс Феоктистов Дидактические материалы Мнемозина 2013 ФГОС - Итоговая КР вариант 2