Алгебра за 8 класс Дудницын Контрольные работы УМК Экзамен кр-3. вариант 4
Решебник / кр-3. вариант / 4

КР-1. Сумма и разность дробей. Варианты
КР-2. Произведение и частное дробей. Варианты
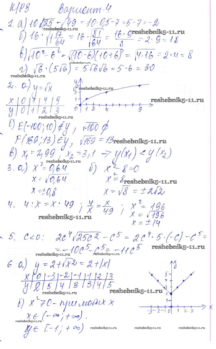
КР-3. Арифметический квадратный корень. Варианты
КР-4. Применение свойств арифметического квадратного корня. Варианты
КР-5. Квадратные уравнения. Варианты
КР-6. Дробные рациональные уравнения. Варианты
КР-7. Неравенства с одной переменной. Варианты
КР-8. Системы неравенств с одной переменной. Варианты
КР-9. Степень с целым показателем. Варианты
КР-10. Элементы статистики. Варианты
Итоговая контрольная работа. Варианты
Готовая домашняя работа с ответами по Алгебре за 8 класс Дудницын, Кронгауз Контрольные работы УМК Экзамен 2010 ФГОС - КР-3. Арифметический квадратный корень. Варианты 4