Алгебра за 8-9 класс Галицкий Сборник задач Просвещение §4 4.74
Решебник / §4 / 4.74
                                Параграф 1. Повторение и углубление курса алгебры 7 класса
Параграф 2. Рациональные дроби
                                    
                        2.1
                    
                                    
                        2.2
                    
                                    
                        2.3
                    
                                    
                        2.4
                    
                                    
                        2.5
                    
                                    
                        2.6
                    
                                    
                        2.7
                    
                                    
                        2.8
                    
                                    
                        2.9
                    
                                    
                        2.10
                    
                                    
                        2.11
                    
                                    
                        2.12
                    
                                    
                        2.13
                    
                                    
                        2.14
                    
                                    
                        2.15
                    
                                    
                        2.16
                    
                                    
                        2.17
                    
                                    
                        2.18
                    
                                    
                        2.19
                    
                                    
                        2.20
                    
                                    
                        2.21
                    
                                    
                        2.22
                    
                                    
                        2.23
                    
                                    
                        2.24
                    
                                    
                        2.25
                    
                                    
                        2.26
                    
                                    
                        2.27
                    
                                    
                        2.28
                    
                                    
                        2.29
                    
                                    
                        2.30
                    
                                    
                        2.31
                    
                                    
                        2.32
                    
                                    
                        2.33
                    
                                    
                        2.34
                    
                                    
                        2.35
                    
                                    
                        2.36
                    
                                    
                        2.37
                    
                                    
                        2.38
                    
                                    
                        2.39
                    
                                    
                        2.40
                    
                                    
                        2.41
                    
                                    
                        2.42
                    
                                    
                        2.43
                    
                                    
                        2.44
                    
                                    
                        2.45
                    
                                    
                        2.46
                    
                                    
                        2.47
                    
                                    
                        2.48
                    
                                    
                        2.49
                    
                                    
                        2.50
                    
                                    
                        2.51
                    
                                    
                        2.52
                    
                                    
                        2.53
                    
                                    
                        2.54
                    
                                    
                        2.55
                    
                                    
                        2.56
                    
                                    
                        2.57
                    
                                    
                        2.58
                    
                                    
                        2.59
                    
                                    
                        2.60
                    
                                    
                        2.61
                    
                                    
                        2.62
                    
                                    
                        2.63
                    
                                    
                        2.64
                    
                                    
                        2.65
                    
                                    
                        2.66
                    
                                    
                        2.67
                    
                                    
                        2.68
                    
                                    
                        2.69
                    
                                    
                        2.70
                    
                                    
                        2.71
                    
                                    
                        2.72
                    
                                    
                        2.73
                    
                                    
                        2.74
                    
                                    
                        2.75
                    
                                    
                        2.76
                    
                                    
                        2.77
                    
                                    
                        2.78
                    
                            
                    Параграф 3. Делимость целых чисел
                                    
                        3.1
                    
                                    
                        3.2
                    
                                    
                        3.3
                    
                                    
                        3.4
                    
                                    
                        3.5
                    
                                    
                        3.6
                    
                                    
                        3.7
                    
                                    
                        3.8
                    
                                    
                        3.9
                    
                                    
                        3.10
                    
                                    
                        3.11
                    
                                    
                        3.12
                    
                                    
                        3.13
                    
                                    
                        3.14
                    
                                    
                        3.15
                    
                                    
                        3.16
                    
                                    
                        3.17
                    
                                    
                        3.18
                    
                                    
                        3.19
                    
                                    
                        3.20
                    
                                    
                        3.21
                    
                                    
                        3.22
                    
                                    
                        3.23
                    
                                    
                        3.24
                    
                                    
                        3.25
                    
                                    
                        3.26
                    
                                    
                        3.27
                    
                                    
                        3.28
                    
                                    
                        3.29
                    
                                    
                        3.30
                    
                                    
                        3.31
                    
                                    
                        3.32
                    
                                    
                        3.33
                    
                                    
                        3.34
                    
                                    
                        3.35
                    
                                    
                        3.36
                    
                                    
                        3.37
                    
                                    
                        3.38
                    
                                    
                        3.39
                    
                                    
                        3.40
                    
                                    
                        3.41
                    
                                    
                        3.42
                    
                                    
                        3.43
                    
                                    
                        3.44
                    
                                    
                        3.45
                    
                                    
                        3.46
                    
                                    
                        3.47
                    
                                    
                        3.48
                    
                                    
                        3.49
                    
                                    
                        3.50
                    
                                    
                        3.51
                    
                                    
                        3.52
                    
                                    
                        3.53
                    
                                    
                        3.54
                    
                                    
                        3.55
                    
                                    
                        3.56
                    
                                    
                        3.57
                    
                                    
                        3.58
                    
                                    
                        3.59
                    
                                    
                        3.60
                    
                                    
                        3.61
                    
                                    
                        3.62
                    
                                    
                        3.63
                    
                                    
                        3.64
                    
                                    
                        3.65
                    
                                    
                        3.66
                    
                                    
                        3.67
                    
                                    
                        3.68
                    
                                    
                        3.69
                    
                                    
                        3.70
                    
                                    
                        3.71
                    
                                    
                        3.72
                    
                                    
                        3.73
                    
                                    
                        3.74
                    
                                    
                        3.75
                    
                                    
                        3.76
                    
                                    
                        3.77
                    
                                    
                        3.78
                    
                                    
                        3.79
                    
                                    
                        3.80
                    
                                    
                        3.81
                    
                                    
                        3.82
                    
                                    
                        3.83
                    
                                    
                        3.84
                    
                                    
                        3.85
                    
                                    
                        3.86
                    
                                    
                        3.87
                    
                                    
                        3.88
                    
                                    
                        3.89
                    
                                    
                        3.90
                    
                                    
                        3.91
                    
                                    
                        3.92
                    
                                    
                        3.93
                    
                                    
                        3.94
                    
                                    
                        3.95
                    
                                    
                        3.96
                    
                                    
                        3.97
                    
                                    
                        3.98
                    
                                    
                        3.99
                    
                                    
                        3.100
                    
                                    
                        3.101
                    
                                    
                        3.102
                    
                                    
                        3.103
                    
                                    
                        3.104
                    
                                    
                        3.105
                    
                                    
                        3.106
                    
                                    
                        3.107
                    
                                    
                        3.108
                    
                                    
                        3.109
                    
                                    
                        3.110
                    
                                    
                        3.111
                    
                                    
                        3.112
                    
                                    
                        3.113
                    
                                    
                        3.114
                    
                                    
                        3.115
                    
                                    
                        3.116
                    
                                    
                        3.117
                    
                                    
                        3.118
                    
                                    
                        3.119
                    
                                    
                        3.120
                    
                                    
                        3.121
                    
                                    
                        3.122
                    
                                    
                        3.123
                    
                                    
                        3.124
                    
                                    
                        3.125
                    
                                    
                        3.126
                    
                                    
                        3.127
                    
                                    
                        3.128
                    
                                    
                        3.129
                    
                                    
                        3.130
                    
                                    
                        3.131
                    
                                    
                        3.132
                    
                                    
                        3.133
                    
                                    
                        3.134
                    
                                    
                        3.135
                    
                                    
                        3.136
                    
                                    
                        3.137
                    
                                    
                        3.138
                    
                                    
                        3.139
                    
                                    
                        3.140
                    
                            
                    Параграф 4. Квадратные корни
                                    
                        4.1
                    
                                    
                        4.2
                    
                                    
                        4.3
                    
                                    
                        4.4
                    
                                    
                        4.5
                    
                                    
                        4.6
                    
                                    
                        4.7
                    
                                    
                        4.8
                    
                                    
                        4.9
                    
                                    
                        4.10
                    
                                    
                        4.11
                    
                                    
                        4.12
                    
                                    
                        4.13
                    
                                    
                        4.14
                    
                                    
                        4.15
                    
                                    
                        4.16
                    
                                    
                        4.17
                    
                                    
                        4.18
                    
                                    
                        4.19
                    
                                    
                        4.20
                    
                                    
                        4.21
                    
                                    
                        4.22
                    
                                    
                        4.23
                    
                                    
                        4.24
                    
                                    
                        4.25
                    
                                    
                        4.26
                    
                                    
                        4.27
                    
                                    
                        4.28
                    
                                    
                        4.29
                    
                                    
                        4.30
                    
                                    
                        4.31
                    
                                    
                        4.32
                    
                                    
                        4.33
                    
                                    
                        4.34
                    
                                    
                        4.35
                    
                                    
                        4.36
                    
                                    
                        4.37
                    
                                    
                        4.38
                    
                                    
                        4.39
                    
                                    
                        4.40
                    
                                    
                        4.41
                    
                                    
                        4.42
                    
                                    
                        4.43
                    
                                    
                        4.44
                    
                                    
                        4.45
                    
                                    
                        4.46
                    
                                    
                        4.47
                    
                                    
                        4.48
                    
                                    
                        4.49
                    
                                    
                        4.50
                    
                                    
                        4.51
                    
                                    
                        4.52
                    
                                    
                        4.53
                    
                                    
                        4.54
                    
                                    
                        4.55
                    
                                    
                        4.56
                    
                                    
                        4.57
                    
                                    
                        4.58
                    
                                    
                        4.59
                    
                                    
                        4.60
                    
                                    
                        4.61
                    
                                    
                        4.62
                    
                                    
                        4.63
                    
                                    
                        4.64
                    
                                    
                        4.65
                    
                                    
                        4.66
                    
                                    
                        4.67
                    
                                    
                        4.68
                    
                                    
                        4.69
                    
                                    
                        4.70
                    
                                    
                        4.71
                    
                                    
                        4.72
                    
                                    
                        4.73
                    
                                    
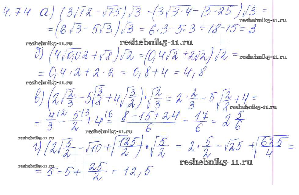
                        4.74
                    
                                    
                        4.75
                    
                                    
                        4.76
                    
                                    
                        4.77
                    
                                    
                        4.78
                    
                                    
                        4.79
                    
                                    
                        4.80
                    
                                    
                        4.81
                    
                                    
                        4.82
                    
                                    
                        4.83
                    
                                    
                        4.84
                    
                                    
                        4.85
                    
                                    
                        4.86
                    
                                    
                        4.87
                    
                                    
                        4.88
                    
                                    
                        4.89
                    
                                    
                        4.90
                    
                                    
                        4.91
                    
                                    
                        4.92
                    
                                    
                        4.93
                    
                                    
                        4.94
                    
                                    
                        4.95
                    
                                    
                        4.96
                    
                                    
                        4.97
                    
                                    
                        4.98
                    
                                    
                        4.99
                    
                                    
                        4.100
                    
                                    
                        4.101
                    
                                    
                        4.102
                    
                                    
                        4.103
                    
                                    
                        4.104
                    
                                    
                        4.105
                    
                                    
                        4.106
                    
                                    
                        4.107
                    
                                    
                        4.108
                    
                                    
                        4.109
                    
                                    
                        4.110
                    
                                    
                        4.111
                    
                                    
                        4.112
                    
                                    
                        4.113
                    
                                    
                        4.114
                    
                                    
                        4.115
                    
                                    
                        4.116
                    
                                    
                        4.117
                    
                                    
                        4.118
                    
                                    
                        4.119
                    
                                    
                        4.120
                    
                                    
                        4.121
                    
                                    
                        4.122
                    
                                    
                        4.123
                    
                                    
                        4.124
                    
                                    
                        4.125
                    
                                    
                        4.126
                    
                                    
                        4.127
                    
                            
                    Параграф 5. Квадратные уравнения
Готовая домашняя работа с ответами по Алгебре за 8, 9 класс Галицкий, Гольдман, Звавич Сборник задач Просвещение 2019 ФГОС - Параграф 4. Квадратные корни 4.74