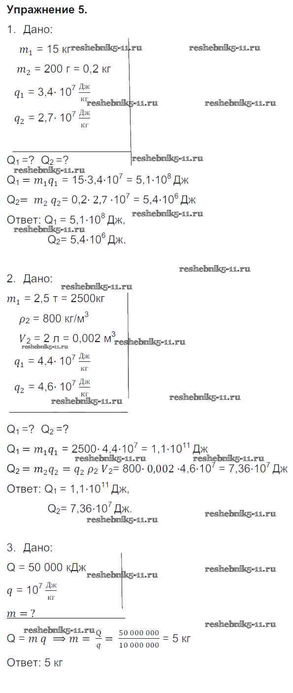
Физика за 8 класс Перышкин Учебник Вертикаль Дрофа упражнение 5
Решебник 1 / старое издание / упражнение / 5

Новое издание (бело-красный учебник)
Упражнения
Вопросы в параграфе
§ 1
§ 2
§ 3
§ 4
§ 5
§ 6
§ 7
§ 8
§ 9
§ 10
§ 11
§ 12
§ 13
§ 14
§ 15
§ 16
§ 17
§ 18
§ 19
§ 20
§ 21
§ 22
§ 23
§ 24
§ 25
§ 26
§ 27
§ 28
§ 29
§ 30
§ 31
§ 32
§ 33
§ 34
§ 35
§ 36
§ 37
§ 38
§ 39
§ 40
§ 41
§ 42
§ 43
§ 44
§ 45
§ 47
§ 48
§ 49
§ 50
§ 51
§ 52
§ 53
§ 54
§ 55
§ 56
§ 57
§ 58
§ 59
§ 60
§ 61
§ 62
§ 63
§ 64
§ 65
§ 66
§ 67
§ 68
§ 69
§ 70
Задания
Лабораторные работы
Проверь себя
Задачи для повторения
Старое издание (синий учебник)
Упражнения
Вопросы в параграфе
§ 1
§ 2
§ 3
§ 4
§ 5
§ 6
§ 7
§ 8
§ 9
§ 10
§ 11
§ 12
§ 13
§ 14
§ 15
§ 16
§ 17
§ 18
§ 19
§ 20
§ 21
§ 22
§ 23
§ 24
§ 26
§ 27
§ 28
§ 29
§ 30
§ 31
§ 32
§ 33
§ 34
§ 35
§ 36
§ 37
§ 38
§ 39
§ 41
§ 42
§ 43
§ 44
§ 45
§ 47
§ 48
§ 49
§ 50
§ 51
§ 52
§ 53
§ 54
§ 55
§ 56
§ 57
§ 58
§ 59
§ 60
§ 61
§ 62
§ 63
§ 64
§ 65
§ 66
§ 67
Задания
Готовая домашняя работа с ответами по Физике за 8 класс Перышкин Учебник Вертикаль Дрофа 2014 ФГОС - Упражнения 5