Геометрия за 8 класс Мерзляк Учебник Алгоритм успеха Углубленный уровень Вентана-граф § 2 6
Решебник / глава 1 / § 2 / 6


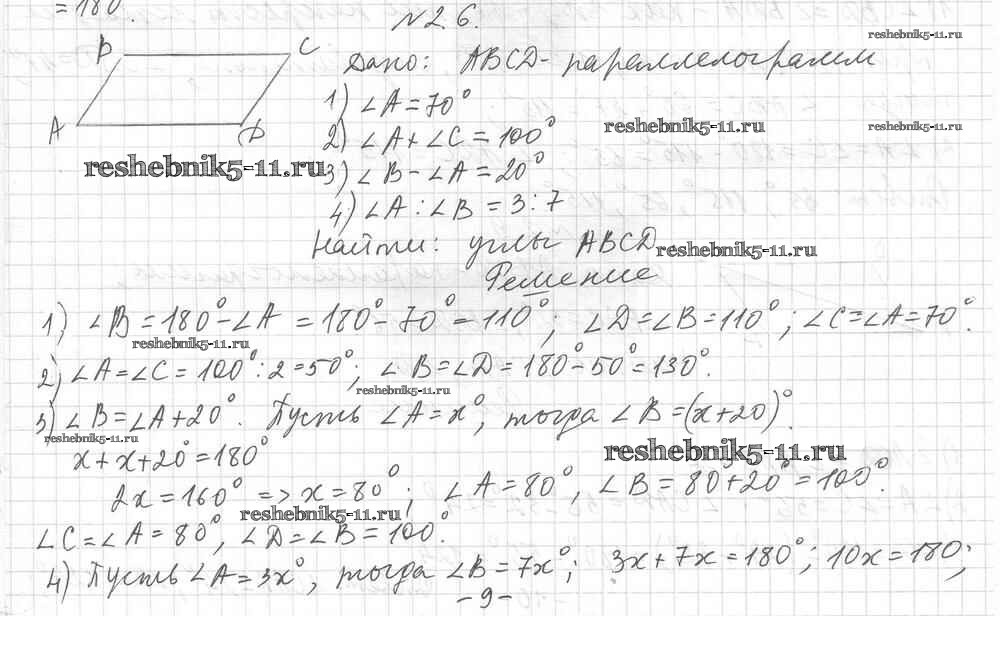
Глава 1. Многоугольники. Четырехугольники
§ 1. Многоугольники и его элементы
§ 2. Параллелограмм и его свойства
§ 3. Признаки параллелограмма
§ 6. Средняя линия треугольника
§ 7. Трапеция
Глава 2. Вписанные и описанные четырехугольники
§ 8. Центральные и вписанные углы
§ 9. Применение свойств центральных и вписанных углов
§ 10. Вписанные четырехугольники
§ 11. Описанные четырехугольники
Глава 3. Подобие треугольников
§ 12. Теорема Фалеса
§ 13. Теорема о медианах треугольника
§ 14. Подобные треугольники
§ 15. Первый признак подобия треугольников
§ 16. Теорема Менелая
§ 17. Прямая Эйлера
§ 18. Второй и третий признаки подобия треугольников
Глава 4. Решение прямоугольных треугольников
§ 19. Метрические соотношения в прямоугольном треугольнике
§ 20. Теорема Пифагора
§ 21. Тригонометрические функции острого угла прямоугольного треугольника
§ 22. Решение прямоугольных треугольников
Глава 5. Площадь многоугольника
§ 23. Понятие площади многоугольников
§ 24. Площадь параллелограмма
§ 25. Площадь треугольника
§ 26. Площадь трапеции
Готовая домашняя работа с ответами по Геометрии за 8 класс Мерзляк, Поляков Учебник Алгоритм успеха Углубленный уровень Вентана-граф 2020 ФГОС - § 2. Параллелограмм и его свойства 6