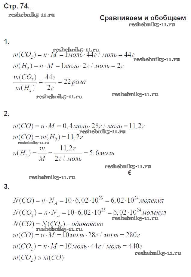
Химия за 8 класс Гара Тетрадь-тренажер Сферы Просвещение страница 74
Решебник / страница / 74

Готовая домашняя работа с ответами по Химии за 8 класс Гара Тетрадь-тренажер Сферы Просвещение 2017 ФГОС - Страницы 74
Готовая домашняя работа с ответами по Химии за 8 класс Гара Тетрадь-тренажер Сферы Просвещение 2017 ФГОС - Страницы 74