Литература за 8 класс Соловьева Рабочая тетрадь Инновационная школа Русское слово урок № 43
Решебник / урок № / 43

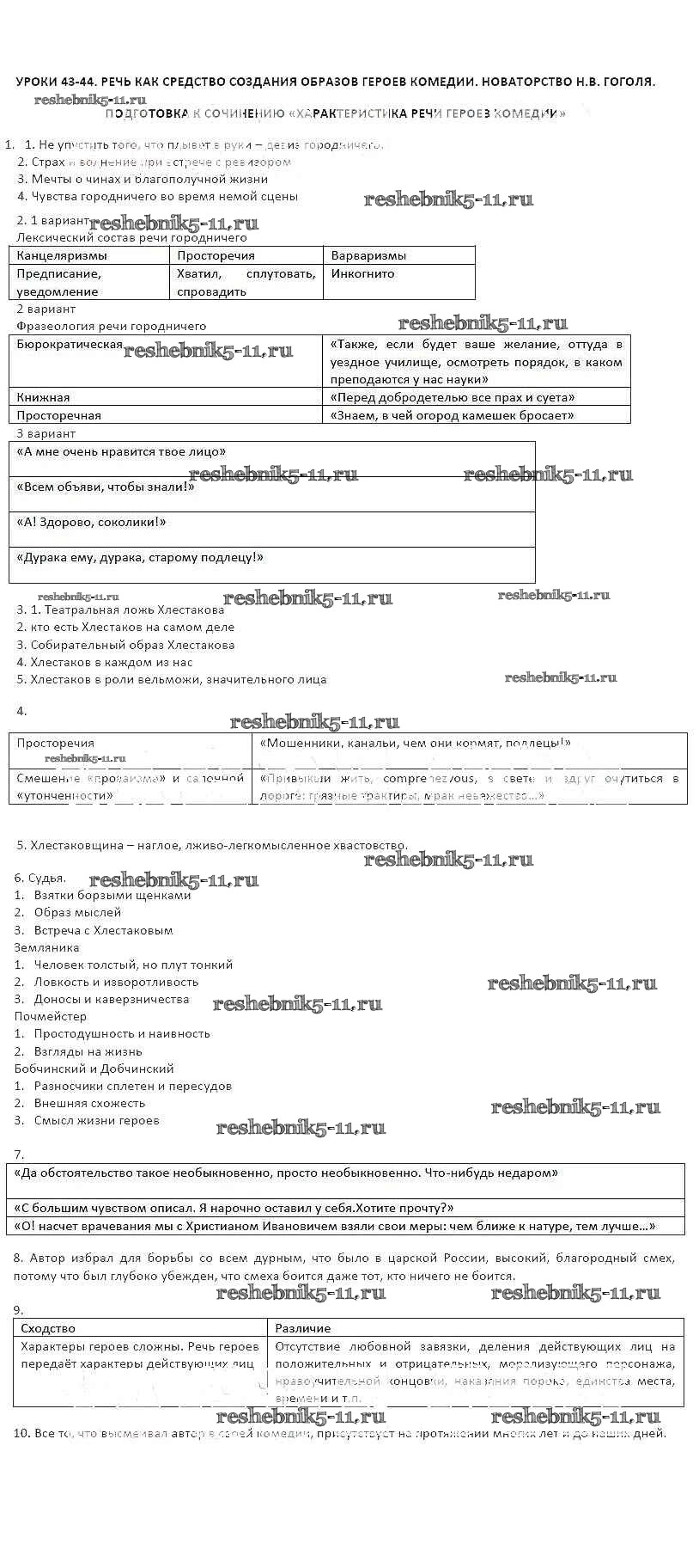
Уроки
Вопросы и задания для самоконтроля
Готовая домашняя работа с ответами по Литературе за 8 класс Соловьева Рабочая тетрадь Инновационная школа Русское слово 2016 ФГОС - Уроки 43