Алгебра за 10 класс Александрова Самостоятельные работы Базовый уровень Мнемозина ср-31 вариант 4
Решебник / глава 4 / ср-31 / вариант 4
 
                                 
                                Глава 1. Числовые функции
СР-1. Определение числовой функции, способы ее задания
СР-2. Свойства функций
СР-3. Обратная функция
Глава 2. Тригонометрические функции
СР-4. Числовая окружность
СР-5. Числовая окружность
СР-6. Числовая окружность на координатной плоскости
СР-7. Синус и косинус
СР-8. Тангес и котангес
СР-9. Тригонометрические функции числового аргумента
СР-10. Тригонометрические функции углового аргумента
СР-11. Формулы приведения
СР-12. Функция y=sin. x и ее график
СР-13. Функция y=cos. x и ее график
СР-14. Периодичность функций
СР-15. Преобразование графиков тригонометрических функций
СР-16. Преобразование графиков тригонометрических функций
СР-17. Функции y=tg, x y=ctg x, их свойства и графики
Глава 3. Тригонометрические уравнения
СР-18. Арккосинус и решение уравнения cos t=a
СР-19. Арккосинус и решение уравнения sin t=a
СР-20. Арккотангенс и решение уравнения tg x=a. Арктангенс и решение уравнения ctg x=a
СР-21. Тригонометрические уравнения
СР-22. Тригонометрические уравнения
СР-23. Тригонометрические уравнения
СР-24. Тригонометрические неравенства
Глава 4. Преобразование тригонометрических выражений
СР-25. Синус и косинус суммы и разности аргументов
СР-26. Синус и косинус суммы и разности аргументов
СР-27. Тангенс суммы и разности аргументов
СР-28. Формулы двойного аргумента
СР-29. Формулы двойного аргумента
СР-30. Преобразование суммы тригонометрических функций в произведении
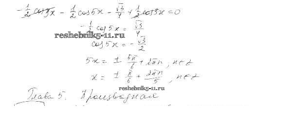
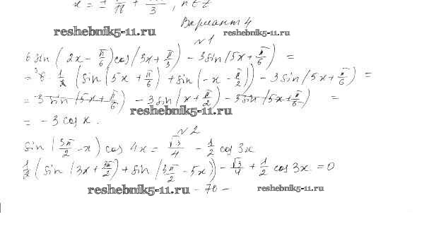
СР-31. Преобразование произведения тригонометрических функций в сумму
Глава 5. Производная
СР-33. Предел последовательности
СР-34. Сумма бесконечной геометрической прогрессии
СР-35. Предел функции
СР-36. Определение производной
СР-37. Вычисление производных
СР-38. Вычисление производных
СР-39. Вычисление производных
СР-40. Вычисление производных
СР-41. Уравнение касательной к графику функции
СР-42. Уравнение касательной к графику функции
СР-43. Применение производной для исследования функций на монотонность
СР-44. Применение производной для исследования функций на экстремум
СР-45. Построение графиков функций
СР-46. Применение производной для отыскивания наибольшего и наименьшего значений непрерывной функции на промежутке
СР-47. Задачи на отыскивания наибольшего и наименьшего значений величин
СР-48. Итоговое повторение
Готовая домашняя работа с ответами по Алгебре за 10 класс Александрова Самостоятельные работы Базовый уровень Мнемозина 2017 ФГОС - СР-31. Преобразование произведения тригонометрических функций в сумму вариант 4