Алгебра за 10 класс Шабунин Дидактические материалы Базовый и углубленный уровень Просвещение §24 вариант 2
Решебник / глава 5 / §24 / вариант 2
 
                                Глава 1. Действительные числа
§1. Целые и рациональные числа
§2. Действительные числа
§3. Бесконечно убывающая геометрическая прогрессия
§4. Арифметический корень натуральной степени
§5. Степень с рациональным и действительным показателями
Контрольная работа №1
Глава 2. Степенная функция
§6. Степенная функция, её свойства и график
§7. Взаимно обратные функции
§8. Равносильные уравнения и неравенства
§9. Иррациональные уравнения
§10. Иррациональные неравенства
Контрольная работа №2
Глава 3. Показательная функция
§11. Показательная функция, её свойства и график
§12. Показательные уравнения
§13. Показательные неравенства
§14. Системы показательных уравнений и неравенств
Контрольная работа №3
Глава 4. Логарифмическая функция
§15. Логарифмы
§16. Свойства логарифмов
§17. Десятичные и натуральные логарифмы. Формула перехода
§18. Логарифмическая функция, её свойства и график
§19. Логарифмические уравнения
§20. Логарифмические неравенства
Контрольная работа №4
Глава 5. Тригонометрические формулы
§21. Радианная мера угла
§22. Поворот точки вокруг начала координат
§23. Определение синуса, косинуса и тангенса угла
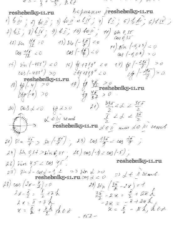
§24. Знаки синуса, косинуса и тангенса
§25. Зависимость между синусом, косинусом и тангенсом одного и того же угла
§26. Тригонометрические тождества
§27. Синус, косинус и тангенс углов а и -а
§28. Формулы сложения
§29. Синус, косинус и тангенс двойного угла
§30. Синус, косинус и тангенс половинного угла
§31. Формулы приведения
§32. Сумма и разность синусов. Сумма и разность косинусов
Контрольная работа №5
Глава 6. Тригонометрические уравнения
§33. Уравнение cos л: = а
§34. Уравнение sin л: = а
§35. Уравнение tgx = а
§36. Решение тригонометрических уравнений
§37. Примеры решения простейших тригонометрических неравенств
Контрольная работа №6
Готовая домашняя работа с ответами по Алгебре за 10 класс Шабунин, Ткачева, Федорова Дидактические материалы Базовый и углубленный уровень Просвещение 2017 ФГОС - §24. Знаки синуса, косинуса и тангенса вариант 2