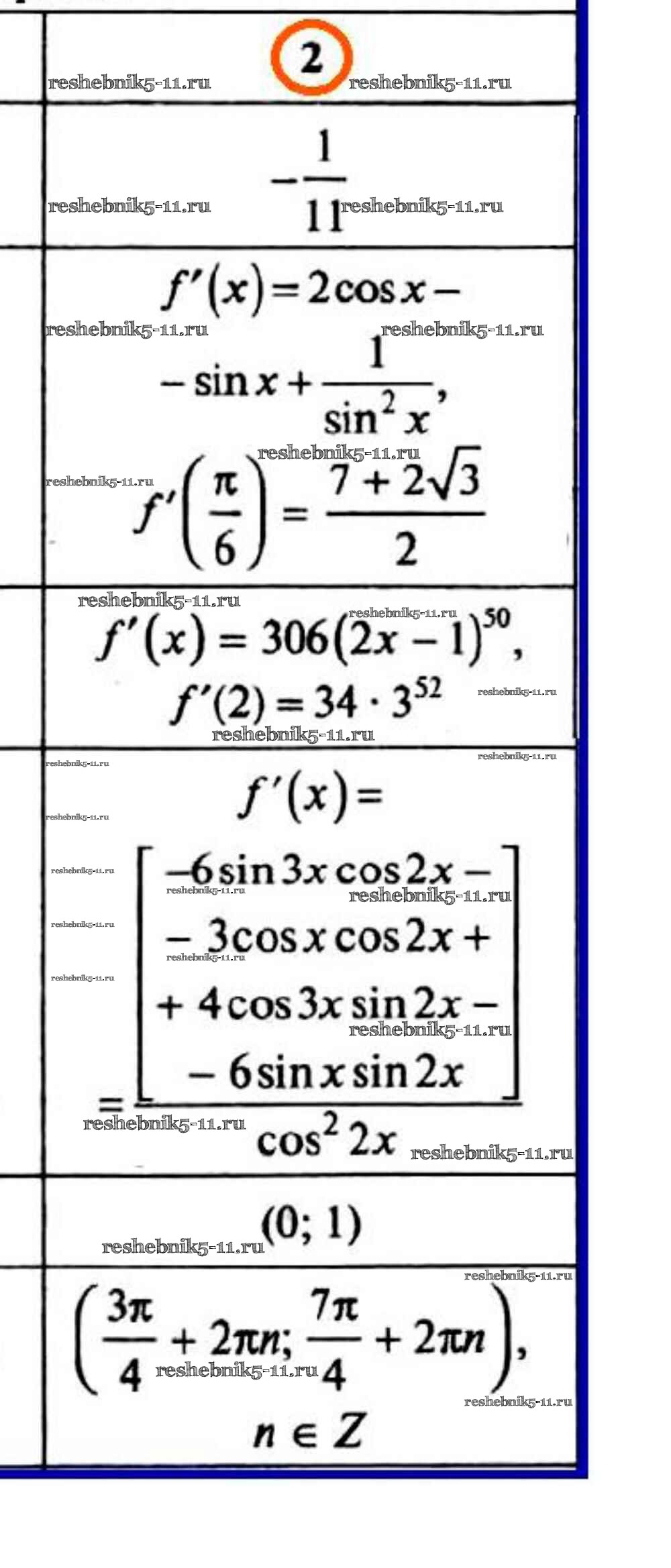
Алгебра за 10 класс Рурукин Контрольно-измерительные материалы (КИМ) ВАКО контрольная работа 7 2
Решебник / контрольная работа 7 / 2
 
                                Готовая домашняя работа с ответами по Алгебре за 10 класс Рурукин Контрольно-измерительные материалы (КИМ) ВАКО 2017 ФГОС - Контрольная работа 7 2