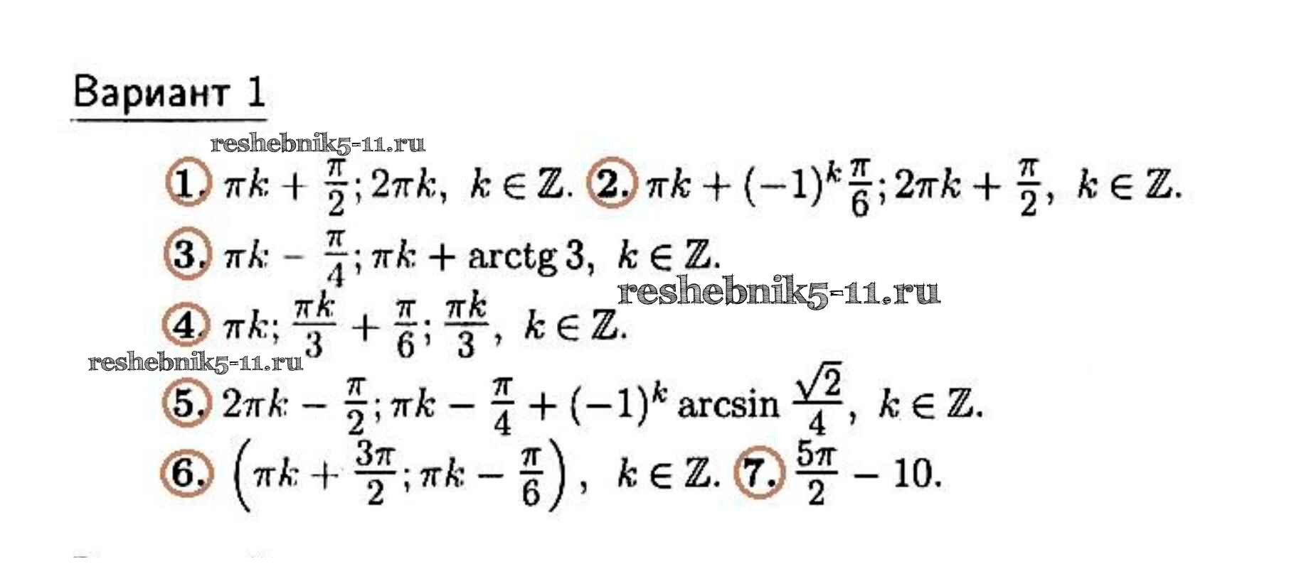
Алгебра за 10 класс Зив Дидактические материалы Виктория плюс контрольная работа 6 (вариант) 1
Решебник / контрольная работа 6 (вариант) / 1
 
                                Контрольная работа 1 (Варианты)
Контрольная работа 2 (Варианты)
Контрольная работа 3 (Варианты)
Контрольная работа 4 (Варианты)
Контрольная работа 5 (Варианты)
Контрольная работа 6 (Варианты)
Контрольная работа 7 (Варианты)
Итоговая контрольная работа 8 (Варианты)
Готовая домашняя работа с ответами по Алгебре за 10 класс Зив, Гольдич Дидактические материалы Виктория плюс 2015 - Контрольная работа 6 (Варианты) 1