Алгебра за 10 класс Мерзляк Учебник Алгоритм успеха Базовый уровень Вентана-граф §38 38.13
Решебник / §38 / 38.13
 
                                §1. Наибольшее и наименьшее значения функции. Чётные и нечётные функции
§2. Построение графиков функций с помощью геометрических преобразований
§3. Обратная функция
§4. Равносильные уравнения и неравенства
§5. Метод интервалов
§6. Степенная функция с натуральным показателем
§7. Степенная функция с целым показателем
§8. Определение корня n-й степени. Функция у= n√x
§9. Свойства корня n-й степени
§10. Определение и свойства степени с рациональным показателем
§11. Иррациональные уравнения
§12. Иррациональные уравнения
§13. Иррациональные неравенства
§14. Радианная мера угла
§15. Тригонометрические функции числового аргумента
§16. Знаки значений тригонометрических функций. Чётность и нечётность тригонометрических функций
§17. Периодические функции
§18. Свойства и графики функций y = sin x и y = cos x
§19. Свойства и графики функций y = tg x и y = ctg x
§20. Основные соотношения между тригонометрическими функциями одного и того же аргумента
§21. Формулы сложения
§22. Формулы приведения
§23. Формулы двойного и половинного углов
§24. Сумма и разность синусов (косинусов)
§25. Формулы преобразования произведения тригонометрических функций в сумму
§26. Уравнение cos x = b
§27. Уравнение sin x = b
§28. Уравнения tg x = b и ctg x = b
§29. Функции y = arccos x, y = arcsin x, y = arctg x и y = arcctg x
§30. Тригонометрические уравнения, сводящиеся к алгебраическим
§31. Решение тригонометрических уравнений методом разложения на множители
§32. Решение простейших тригонометрических неравенств
§33. Представление о пределе функции в точке и о непрерывности функции в точке
§34. Задачи о мгновенной скорости и касательной к графику функции
§35. Понятие производной
§36. Правила вычисления производных
§37. Уравнение касательной
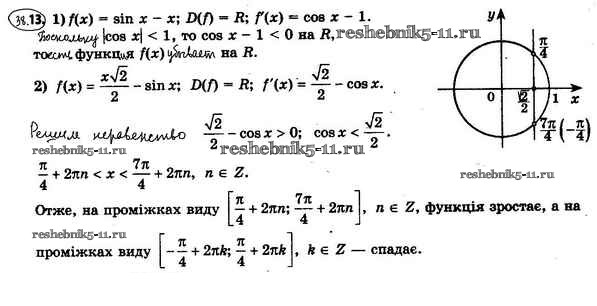
§38. Признаки возрастания и убывания функции
§39. Точки экстремума функции
§40. Применение производной при нахождении наибольшего и наименьшего значений функции
§41. Построение графиков функций
Готовая домашняя работа с ответами по Алгебре за 10 класс Мерзляк, Номировский, Полонский, Якир Учебник Алгоритм успеха Базовый уровень Вентана-граф 2022 ФГОС - §38. Признаки возрастания и убывания функции 38.13