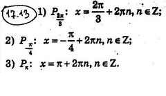
Алгебра за 10 класс Мерзляк Учебник Алгоритм успеха Углубленный уровень Вентана-граф §17 17.13
Решебник / §17 / 17.13
 
                                §1. Множества. Операции над множествами
§2. Конечные и бесконечные множества
§3. Высказывания и операции над ними
§4. Предикаты. Операции над предикатами. Виды теорем
§5. Функция и её свойства
§6. Построение графиков функций с помощью геометрических преобразований
§7. Обратная функция
§8. Метод интервалов
§9. Степенная функция с натуральным показателем
§10. Степенная функция с целым показателем
§11. Определение корня n-й степени. у= n√x
§12. Свойства корня n-й степени
§13. Степень с рациональным показателем и её свойства
§14. Иррациональные уравнения
§15. Различные приёмы решения иррациональных уравнений и их систем
§16. Иррациональные неравенства
§17. Радианная мера угла
§18. Тригонометрические функции числового аргумента
§19. Знаки значений тригонометрических функций. Чётность и нечётность тригонометрических функций
§20. Периодические функции
§21. Свойства и графики функций у = sin x и y = cos x
§22. Свойства и графики функций y = tg x и y = ctg x
§23. Основные соотношения между тригонометрическими функциями одного и того же аргумента
§24. Формулы сложения
§25. Формулы приведения
§26. Формулы двойного, тройного и половинного углов
§27. Формулы для преобразования суммы, разности и произведения тригонометрических функций
§28. Уравнение cosx = b
§29. Уравнение sinx = b
§30. Уравнение tgx = b, ctgx = b
§31. Функции у = arccosx, y = arcsinx, у = arctgx и у = arcctgx
§32. Тригонометрические уравнения, сводящиеся к алгебраическим
§33. Решение тригонометрических уравнений методом разложения на множители. Применение ограниченности тригонометрических функций
§34. О равносильных переходах при решении тригонометрических уравнений
§35. Тригонометрические неравенства
§36. Определение предела функции в точке и функции, непрерывной в точке
§37. Задачи о мгновенной скорости и касательной к графику функции
§38. Понятие производной
§39. Правила вычисления производных
§40. Уравнение касательной
§41. Признаки возрастания и убывания функции
§42. Точки экстремума функции
Готовая домашняя работа с ответами по Алгебре за 10 класс Мерзляк, Номировский, Поляков Учебник Алгоритм успеха Углубленный уровень Вентана-граф 2019 ФГОС - §17. Радианная мера угла 17.13