Алгебра за 10 класс Арефьева Учебник Народная асвета глава 1 1.88
Решебник / глава 1 / 1.88
 
                                Повторение
Глава 1
                                    
                        1.1
                    
                                    
                        1.2
                    
                                    
                        1.3
                    
                                    
                        1.4
                    
                                    
                        1.5
                    
                                    
                        1.6
                    
                                    
                        1.7
                    
                                    
                        1.8
                    
                                    
                        1.9
                    
                                    
                        1.10
                    
                                    
                        1.11
                    
                                    
                        1.12
                    
                                    
                        1.13
                    
                                    
                        1.14
                    
                                    
                        1.15
                    
                                    
                        1.16
                    
                                    
                        1.17
                    
                                    
                        1.18
                    
                                    
                        1.19
                    
                                    
                        1.20
                    
                                    
                        1.21
                    
                                    
                        1.22
                    
                                    
                        1.23
                    
                                    
                        1.24
                    
                                    
                        1.25
                    
                                    
                        1.26
                    
                                    
                        1.27
                    
                                    
                        1.28
                    
                                    
                        1.29
                    
                                    
                        1.30
                    
                                    
                        1.31
                    
                                    
                        1.32
                    
                                    
                        1.33
                    
                                    
                        1.34
                    
                                    
                        1.35
                    
                                    
                        1.36
                    
                                    
                        1.37
                    
                                    
                        1.38
                    
                                    
                        1.39
                    
                                    
                        1.40
                    
                                    
                        1.41
                    
                                    
                        1.42
                    
                                    
                        1.43
                    
                                    
                        1.44
                    
                                    
                        1.45
                    
                                    
                        1.46
                    
                                    
                        1.47
                    
                                    
                        1.48
                    
                                    
                        1.49
                    
                                    
                        1.50
                    
                                    
                        1.51
                    
                                    
                        1.52
                    
                                    
                        1.53
                    
                                    
                        1.54
                    
                                    
                        1.55
                    
                                    
                        1.56
                    
                                    
                        1.57
                    
                                    
                        1.58
                    
                                    
                        1.59
                    
                                    
                        1.60
                    
                                    
                        1.61
                    
                                    
                        1.62
                    
                                    
                        1.63
                    
                                    
                        1.64
                    
                                    
                        1.65
                    
                                    
                        1.66
                    
                                    
                        1.67
                    
                                    
                        1.68
                    
                                    
                        1.69
                    
                                    
                        1.70
                    
                                    
                        1.71
                    
                                    
                        1.72
                    
                                    
                        1.73
                    
                                    
                        1.74
                    
                                    
                        1.75
                    
                                    
                        1.76
                    
                                    
                        1.77
                    
                                    
                        1.78
                    
                                    
                        1.79
                    
                                    
                        1.80
                    
                                    
                        1.81
                    
                                    
                        1.82
                    
                                    
                        1.83
                    
                                    
                        1.84
                    
                                    
                        1.85
                    
                                    
                        1.86
                    
                                    
                        1.87
                    
                                    
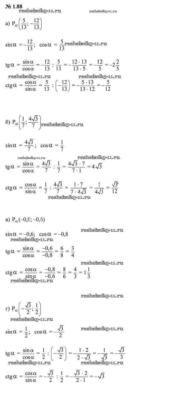
                        1.88
                    
                                    
                        1.89
                    
                                    
                        1.90
                    
                                    
                        1.91
                    
                                    
                        1.92
                    
                                    
                        1.93
                    
                                    
                        1.94
                    
                                    
                        1.95
                    
                                    
                        1.96
                    
                                    
                        1.97
                    
                                    
                        1.98
                    
                                    
                        1.99
                    
                                    
                        1.100
                    
                                    
                        1.101
                    
                                    
                        1.102
                    
                                    
                        1.103
                    
                                    
                        1.104
                    
                                    
                        1.105
                    
                                    
                        1.106
                    
                                    
                        1.107
                    
                                    
                        1.108
                    
                                    
                        1.109
                    
                                    
                        1.110
                    
                                    
                        1.111
                    
                                    
                        1.112
                    
                                    
                        1.113
                    
                                    
                        1.114
                    
                                    
                        1.115
                    
                                    
                        1.116
                    
                                    
                        1.117
                    
                                    
                        1.118
                    
                                    
                        1.119
                    
                                    
                        1.120
                    
                                    
                        1.121
                    
                                    
                        1.122
                    
                                    
                        1.123
                    
                                    
                        1.124
                    
                                    
                        1.125
                    
                                    
                        1.126
                    
                                    
                        1.127
                    
                                    
                        1.128
                    
                                    
                        1.129
                    
                                    
                        1.130
                    
                                    
                        1.131
                    
                                    
                        1.132
                    
                                    
                        1.133
                    
                                    
                        1.134
                    
                                    
                        1.135
                    
                                    
                        1.136
                    
                                    
                        1.137
                    
                                    
                        1.138
                    
                                    
                        1.139
                    
                                    
                        1.140
                    
                                    
                        1.141
                    
                                    
                        1.142
                    
                                    
                        1.143
                    
                                    
                        1.144
                    
                                    
                        1.145
                    
                                    
                        1.146
                    
                                    
                        1.147
                    
                                    
                        1.148
                    
                                    
                        1.149
                    
                                    
                        1.150
                    
                                    
                        1.151
                    
                                    
                        1.152
                    
                                    
                        1.153
                    
                                    
                        1.154
                    
                                    
                        1.155
                    
                                    
                        1.156
                    
                                    
                        1.157
                    
                                    
                        1.158
                    
                                    
                        1.159
                    
                                    
                        1.160
                    
                                    
                        1.161
                    
                                    
                        1.162
                    
                                    
                        1.163
                    
                                    
                        1.164
                    
                                    
                        1.165
                    
                                    
                        1.166
                    
                                    
                        1.167
                    
                                    
                        1.168
                    
                                    
                        1.169
                    
                                    
                        1.170
                    
                                    
                        1.171
                    
                                    
                        1.172
                    
                                    
                        1.173
                    
                                    
                        1.174
                    
                                    
                        1.175
                    
                                    
                        1.176
                    
                                    
                        1.177
                    
                                    
                        1.178
                    
                                    
                        1.179
                    
                                    
                        1.180
                    
                                    
                        1.181
                    
                                    
                        1.182
                    
                                    
                        1.183
                    
                                    
                        1.184
                    
                                    
                        1.185
                    
                                    
                        1.186
                    
                                    
                        1.187
                    
                                    
                        1.188
                    
                                    
                        1.189
                    
                                    
                        1.190
                    
                                    
                        1.191
                    
                                    
                        1.192
                    
                                    
                        1.193
                    
                                    
                        1.194
                    
                                    
                        1.195
                    
                                    
                        1.196
                    
                                    
                        1.197
                    
                                    
                        1.198
                    
                                    
                        1.199
                    
                                    
                        1.200
                    
                                    
                        1.201
                    
                                    
                        1.202
                    
                                    
                        1.203
                    
                                    
                        1.204
                    
                                    
                        1.205
                    
                                    
                        1.206
                    
                                    
                        1.207
                    
                                    
                        1.208
                    
                                    
                        1.209
                    
                                    
                        1.210
                    
                                    
                        1.211
                    
                                    
                        1.212
                    
                                    
                        1.213
                    
                                    
                        1.214
                    
                                    
                        1.215
                    
                                    
                        1.216
                    
                                    
                        1.217
                    
                                    
                        1.218
                    
                                    
                        1.219
                    
                                    
                        1.220
                    
                                    
                        1.221
                    
                                    
                        1.222
                    
                                    
                        1.223
                    
                                    
                        1.224
                    
                                    
                        1.225
                    
                                    
                        1.226
                    
                                    
                        1.227
                    
                                    
                        1.228
                    
                                    
                        1.229
                    
                                    
                        1.230
                    
                                    
                        1.231
                    
                                    
                        1.232
                    
                                    
                        1.233
                    
                                    
                        1.234
                    
                                    
                        1.235
                    
                                    
                        1.236
                    
                                    
                        1.237
                    
                                    
                        1.238
                    
                                    
                        1.239
                    
                                    
                        1.240
                    
                                    
                        1.241
                    
                                    
                        1.242
                    
                                    
                        1.243
                    
                                    
                        1.244
                    
                                    
                        1.245
                    
                                    
                        1.246
                    
                                    
                        1.247
                    
                                    
                        1.248
                    
                                    
                        1.249
                    
                                    
                        1.250
                    
                                    
                        1.251
                    
                                    
                        1.252
                    
                                    
                        1.253
                    
                                    
                        1.254
                    
                                    
                        1.255
                    
                                    
                        1.256
                    
                                    
                        1.257
                    
                                    
                        1.258
                    
                                    
                        1.259
                    
                                    
                        1.260
                    
                                    
                        1.261
                    
                                    
                        1.262
                    
                                    
                        1.263
                    
                                    
                        1.264
                    
                                    
                        1.265
                    
                                    
                        1.266
                    
                                    
                        1.267
                    
                                    
                        1.268
                    
                                    
                        1.269
                    
                                    
                        1.270
                    
                                    
                        1.271
                    
                                    
                        1.272
                    
                                    
                        1.273
                    
                                    
                        1.274
                    
                                    
                        1.275
                    
                                    
                        1.276
                    
                                    
                        1.277
                    
                                    
                        1.278
                    
                                    
                        1.279
                    
                                    
                        1.280
                    
                                    
                        1.281
                    
                                    
                        1.282
                    
                                    
                        1.283
                    
                                    
                        1.284
                    
                                    
                        1.285
                    
                                    
                        1.286
                    
                                    
                        1.287
                    
                                    
                        1.288
                    
                                    
                        1.289
                    
                                    
                        1.290
                    
                                    
                        1.291
                    
                                    
                        1.292
                    
                                    
                        1.293
                    
                                    
                        1.294
                    
                                    
                        1.295
                    
                                    
                        1.296
                    
                                    
                        1.297
                    
                                    
                        1.298
                    
                                    
                        1.299
                    
                                    
                        1.300
                    
                                    
                        1.301
                    
                                    
                        1.302
                    
                                    
                        1.303
                    
                                    
                        1.304
                    
                                    
                        1.305
                    
                                    
                        1.306
                    
                                    
                        1.307
                    
                                    
                        1.308
                    
                                    
                        1.309
                    
                                    
                        1.310
                    
                                    
                        1.311
                    
                                    
                        1.312
                    
                                    
                        1.313
                    
                                    
                        1.314
                    
                                    
                        1.315
                    
                                    
                        1.316
                    
                                    
                        1.317
                    
                                    
                        1.318
                    
                                    
                        1.319
                    
                                    
                        1.320
                    
                                    
                        1.321
                    
                                    
                        1.322
                    
                                    
                        1.323
                    
                                    
                        1.324
                    
                                    
                        1.325
                    
                                    
                        1.326
                    
                                    
                        1.327
                    
                                    
                        1.328
                    
                                    
                        1.329
                    
                                    
                        1.330
                    
                                    
                        1.331
                    
                                    
                        1.332
                    
                                    
                        1.333
                    
                                    
                        1.334
                    
                                    
                        1.335
                    
                                    
                        1.336
                    
                                    
                        1.337
                    
                                    
                        1.338
                    
                                    
                        1.339
                    
                                    
                        1.340
                    
                                    
                        1.341
                    
                                    
                        1.342
                    
                                    
                        1.343
                    
                                    
                        1.344
                    
                                    
                        1.345
                    
                                    
                        1.346
                    
                                    
                        1.347
                    
                                    
                        1.348
                    
                                    
                        1.349
                    
                                    
                        1.350
                    
                                    
                        1.351
                    
                                    
                        1.352
                    
                                    
                        1.353
                    
                                    
                        1.354
                    
                                    
                        1.355
                    
                                    
                        1.356
                    
                                    
                        1.357
                    
                                    
                        1.358
                    
                                    
                        1.359
                    
                                    
                        1.360
                    
                                    
                        1.361
                    
                                    
                        1.362
                    
                                    
                        1.363
                    
                                    
                        1.364
                    
                                    
                        1.365
                    
                                    
                        1.366
                    
                                    
                        1.367
                    
                                    
                        1.368
                    
                                    
                        1.369
                    
                                    
                        1.370
                    
                                    
                        1.371
                    
                                    
                        1.372
                    
                                    
                        1.373
                    
                                    
                        1.374
                    
                                    
                        1.375
                    
                                    
                        1.376
                    
                                    
                        1.377
                    
                                    
                        1.378
                    
                                    
                        1.379
                    
                                    
                        1.380
                    
                                    
                        1.381
                    
                                    
                        1.382
                    
                                    
                        1.383
                    
                                    
                        1.384
                    
                                    
                        1.385
                    
                                    
                        1.386
                    
                                    
                        1.387
                    
                                    
                        1.388
                    
                                    
                        1.389
                    
                                    
                        1.390
                    
                                    
                        1.391
                    
                                    
                        1.392
                    
                                    
                        1.393
                    
                                    
                        1.394
                    
                                    
                        1.395
                    
                                    
                        1.396
                    
                                    
                        1.397
                    
                                    
                        1.398
                    
                                    
                        1.399
                    
                                    
                        1.400
                    
                                    
                        1.401
                    
                                    
                        1.402
                    
                                    
                        1.403
                    
                                    
                        1.404
                    
                                    
                        1.405
                    
                                    
                        1.406
                    
                                    
                        1.407
                    
                                    
                        1.408
                    
                                    
                        1.409
                    
                                    
                        1.410
                    
                                    
                        1.411
                    
                                    
                        1.412
                    
                                    
                        1.413
                    
                                    
                        1.414
                    
                                    
                        1.415
                    
                                    
                        1.416
                    
                                    
                        1.417
                    
                                    
                        1.418
                    
                                    
                        1.419
                    
                                    
                        1.420
                    
                                    
                        1.421
                    
                                    
                        1.422
                    
                                    
                        1.423
                    
                                    
                        1.424
                    
                                    
                        1.425
                    
                                    
                        1.426
                    
                                    
                        1.427
                    
                                    
                        1.428
                    
                                    
                        1.429
                    
                                    
                        1.430
                    
                                    
                        1.431
                    
                                    
                        1.432
                    
                                    
                        1.433
                    
                                    
                        1.434
                    
                                    
                        1.435
                    
                                    
                        1.436
                    
                                    
                        1.437
                    
                                    
                        1.438
                    
                                    
                        1.439
                    
                                    
                        1.440
                    
                                    
                        1.441
                    
                                    
                        1.442
                    
                                    
                        1.443
                    
                                    
                        1.444
                    
                                    
                        1.445
                    
                                    
                        1.446
                    
                                    
                        1.447
                    
                                    
                        1.448
                    
                                    
                        1.449
                    
                                    
                        1.450
                    
                                    
                        1.451
                    
                                    
                        1.452
                    
                                    
                        1.453
                    
                                    
                        1.454
                    
                                    
                        1.455
                    
                                    
                        1.456
                    
                                    
                        1.457
                    
                                    
                        1.458
                    
                                    
                        1.459
                    
                                    
                        1.460
                    
                                    
                        1.461
                    
                                    
                        1.462
                    
                                    
                        1.463
                    
                                    
                        1.464
                    
                                    
                        1.465
                    
                                    
                        1.466
                    
                                    
                        1.467
                    
                                    
                        1.468
                    
                                    
                        1.469
                    
                                    
                        1.470
                    
                                    
                        1.471
                    
                                    
                        1.472
                    
                                    
                        1.473
                    
                                    
                        1.474
                    
                                    
                        1.475
                    
                                    
                        1.476
                    
                                    
                        1.477
                    
                                    
                        1.478
                    
                                    
                        1.479
                    
                                    
                        1.480
                    
                                    
                        1.481
                    
                                    
                        1.482
                    
                                    
                        1.483
                    
                                    
                        1.484
                    
                                    
                        1.485
                    
                                    
                        1.486
                    
                                    
                        1.487
                    
                                    
                        1.488
                    
                                    
                        1.489
                    
                                    
                        1.490
                    
                                    
                        1.491
                    
                                    
                        1.492
                    
                                    
                        1.493
                    
                                    
                        1.494
                    
                                    
                        1.495
                    
                                    
                        1.496
                    
                                    
                        1.497
                    
                                    
                        1.498
                    
                                    
                        1.499
                    
                                    
                        1.500
                    
                                    
                        1.501
                    
                                    
                        1.502
                    
                                    
                        1.503
                    
                                    
                        1.504
                    
                                    
                        1.505
                    
                                    
                        1.506
                    
                                    
                        1.507
                    
                                    
                        1.508
                    
                                    
                        1.509
                    
                                    
                        1.510
                    
                                    
                        1.511
                    
                                    
                        1.512
                    
                                    
                        1.513
                    
                                    
                        1.514
                    
                                    
                        1.515
                    
                                    
                        1.516
                    
                                    
                        1.517
                    
                                    
                        1.518
                    
                                    
                        1.519
                    
                                    
                        1.520
                    
                                    
                        1.521
                    
                                    
                        1.522
                    
                                    
                        1.523
                    
                                    
                        1.524
                    
                                    
                        1.525
                    
                                    
                        1.526
                    
                                    
                        1.527
                    
                                    
                        1.528
                    
                                    
                        1.529
                    
                                    
                        1.530
                    
                                    
                        1.531
                    
                                    
                        1.532
                    
                                    
                        1.533
                    
                                    
                        1.534
                    
                                    
                        1.535
                    
                                    
                        1.536
                    
                                    
                        1.537
                    
                                    
                        1.538
                    
                                    
                        1.539
                    
                                    
                        1.540
                    
                                    
                        1.541
                    
                                    
                        1.542
                    
                                    
                        1.543
                    
                                    
                        1.544
                    
                                    
                        1.545
                    
                            
                    Глава 2
                                    
                        2.1
                    
                                    
                        2.2
                    
                                    
                        2.3
                    
                                    
                        2.4
                    
                                    
                        2.5
                    
                                    
                        2.6
                    
                                    
                        2.7
                    
                                    
                        2.8
                    
                                    
                        2.9
                    
                                    
                        2.10
                    
                                    
                        2.11
                    
                                    
                        2.12
                    
                                    
                        2.13
                    
                                    
                        2.14
                    
                                    
                        2.15
                    
                                    
                        2.16
                    
                                    
                        2.17
                    
                                    
                        2.18
                    
                                    
                        2.19
                    
                                    
                        2.20
                    
                                    
                        2.21
                    
                                    
                        2.22
                    
                                    
                        2.23
                    
                                    
                        2.24
                    
                                    
                        2.25
                    
                                    
                        2.26
                    
                                    
                        2.27
                    
                                    
                        2.28
                    
                                    
                        2.29
                    
                                    
                        2.30
                    
                                    
                        2.31
                    
                                    
                        2.32
                    
                                    
                        2.33
                    
                                    
                        2.34
                    
                                    
                        2.35
                    
                                    
                        2.36
                    
                                    
                        2.37
                    
                                    
                        2.38
                    
                                    
                        2.39
                    
                                    
                        2.40
                    
                                    
                        2.41
                    
                                    
                        2.42
                    
                                    
                        2.43
                    
                                    
                        2.44
                    
                                    
                        2.45
                    
                                    
                        2.46
                    
                                    
                        2.47
                    
                                    
                        2.48
                    
                                    
                        2.49
                    
                                    
                        2.50
                    
                                    
                        2.51
                    
                                    
                        2.52
                    
                                    
                        2.53
                    
                                    
                        2.54
                    
                                    
                        2.55
                    
                                    
                        2.56
                    
                                    
                        2.57
                    
                                    
                        2.58
                    
                                    
                        2.59
                    
                                    
                        2.60
                    
                                    
                        2.61
                    
                                    
                        2.62
                    
                                    
                        2.63
                    
                                    
                        2.64
                    
                                    
                        2.65
                    
                                    
                        2.66
                    
                                    
                        2.67
                    
                                    
                        2.68
                    
                                    
                        2.69
                    
                                    
                        2.70
                    
                                    
                        2.71
                    
                                    
                        2.72
                    
                                    
                        2.73
                    
                                    
                        2.74
                    
                                    
                        2.75
                    
                                    
                        2.76
                    
                                    
                        2.77
                    
                                    
                        2.78
                    
                                    
                        2.79
                    
                                    
                        2.80
                    
                                    
                        2.81
                    
                                    
                        2.82
                    
                                    
                        2.83
                    
                                    
                        2.84
                    
                                    
                        2.85
                    
                                    
                        2.86
                    
                                    
                        2.87
                    
                                    
                        2.88
                    
                                    
                        2.89
                    
                                    
                        2.90
                    
                                    
                        2.91
                    
                                    
                        2.92
                    
                                    
                        2.93
                    
                                    
                        2.94
                    
                                    
                        2.95
                    
                                    
                        2.96
                    
                                    
                        2.97
                    
                                    
                        2.98
                    
                                    
                        2.99
                    
                                    
                        2.100
                    
                                    
                        2.101
                    
                                    
                        2.102
                    
                                    
                        2.103
                    
                                    
                        2.104
                    
                                    
                        2.105
                    
                                    
                        2.106
                    
                                    
                        2.107
                    
                                    
                        2.108
                    
                                    
                        2.109
                    
                                    
                        2.110
                    
                                    
                        2.111
                    
                                    
                        2.112
                    
                                    
                        2.113
                    
                                    
                        2.114
                    
                                    
                        2.115
                    
                                    
                        2.116
                    
                                    
                        2.117
                    
                                    
                        2.118
                    
                                    
                        2.119
                    
                                    
                        2.120
                    
                                    
                        2.121
                    
                                    
                        2.122
                    
                                    
                        2.123
                    
                                    
                        2.124
                    
                                    
                        2.125
                    
                                    
                        2.126
                    
                                    
                        2.127
                    
                                    
                        2.128
                    
                                    
                        2.129
                    
                                    
                        2.130
                    
                                    
                        2.131
                    
                                    
                        2.132
                    
                                    
                        2.133
                    
                                    
                        2.134
                    
                                    
                        2.135
                    
                                    
                        2.136
                    
                                    
                        2.137
                    
                                    
                        2.138
                    
                                    
                        2.139
                    
                                    
                        2.140
                    
                                    
                        2.141
                    
                                    
                        2.142
                    
                                    
                        2.143
                    
                                    
                        2.144
                    
                                    
                        2.145
                    
                                    
                        2.146
                    
                                    
                        2.147
                    
                                    
                        2.148
                    
                                    
                        2.149
                    
                                    
                        2.150
                    
                                    
                        2.151
                    
                                    
                        2.152
                    
                                    
                        2.153
                    
                                    
                        2.154
                    
                                    
                        2.155
                    
                                    
                        2.156
                    
                                    
                        2.157
                    
                                    
                        2.158
                    
                                    
                        2.159
                    
                                    
                        2.160
                    
                                    
                        2.161
                    
                                    
                        2.162
                    
                                    
                        2.163
                    
                                    
                        2.164
                    
                                    
                        2.165
                    
                                    
                        2.166
                    
                                    
                        2.167
                    
                                    
                        2.168
                    
                                    
                        2.169
                    
                                    
                        2.170
                    
                                    
                        2.171
                    
                                    
                        2.172
                    
                                    
                        2.173
                    
                                    
                        2.174
                    
                                    
                        2.175
                    
                                    
                        2.176
                    
                                    
                        2.177
                    
                                    
                        2.178
                    
                                    
                        2.179
                    
                                    
                        2.180
                    
                                    
                        2.181
                    
                                    
                        2.182
                    
                                    
                        2.183
                    
                                    
                        2.184
                    
                                    
                        2.185
                    
                                    
                        2.186
                    
                                    
                        2.187
                    
                                    
                        2.188
                    
                                    
                        2.189
                    
                                    
                        2.190
                    
                                    
                        2.191
                    
                                    
                        2.192
                    
                                    
                        2.193
                    
                                    
                        2.194
                    
                                    
                        2.195
                    
                                    
                        2.196
                    
                                    
                        2.197
                    
                                    
                        2.198
                    
                                    
                        2.199
                    
                                    
                        2.200
                    
                                    
                        2.201
                    
                                    
                        2.202
                    
                                    
                        2.203
                    
                                    
                        2.204
                    
                                    
                        2.205
                    
                                    
                        2.206
                    
                                    
                        2.207
                    
                                    
                        2.208
                    
                                    
                        2.209
                    
                                    
                        2.210
                    
                                    
                        2.211
                    
                                    
                        2.212
                    
                                    
                        2.213
                    
                                    
                        2.214
                    
                                    
                        2.215
                    
                                    
                        2.216
                    
                                    
                        2.217
                    
                                    
                        2.218
                    
                                    
                        2.219
                    
                                    
                        2.220
                    
                                    
                        2.221
                    
                                    
                        2.222
                    
                                    
                        2.223
                    
                                    
                        2.224
                    
                                    
                        2.225
                    
                                    
                        2.226
                    
                                    
                        2.227
                    
                                    
                        2.228
                    
                                    
                        2.229
                    
                                    
                        2.230
                    
                                    
                        2.231
                    
                                    
                        2.232
                    
                                    
                        2.233
                    
                                    
                        2.234
                    
                                    
                        2.235
                    
                                    
                        2.236
                    
                                    
                        2.237
                    
                                    
                        2.238
                    
                                    
                        2.239
                    
                                    
                        2.240
                    
                                    
                        2.241
                    
                                    
                        2.242
                    
                                    
                        2.243
                    
                                    
                        2.244
                    
                                    
                        2.245
                    
                                    
                        2.246
                    
                                    
                        2.247
                    
                                    
                        2.248
                    
                                    
                        2.249
                    
                                    
                        2.250
                    
                                    
                        2.251
                    
                                    
                        2.252
                    
                                    
                        2.253
                    
                                    
                        2.254
                    
                                    
                        2.255
                    
                                    
                        2.256
                    
                                    
                        2.257
                    
                                    
                        2.258
                    
                                    
                        2.259
                    
                                    
                        2.260
                    
                                    
                        2.261
                    
                                    
                        2.262
                    
                                    
                        2.263
                    
                                    
                        2.264
                    
                                    
                        2.265
                    
                                    
                        2.266
                    
                                    
                        2.267
                    
                                    
                        2.268
                    
                                    
                        2.269
                    
                                    
                        2.270
                    
                                    
                        2.271
                    
                                    
                        2.272
                    
                                    
                        2.273
                    
                                    
                        2.274
                    
                                    
                        2.275
                    
                                    
                        2.276
                    
                                    
                        2.277
                    
                                    
                        2.278
                    
                                    
                        2.279
                    
                                    
                        2.280
                    
                                    
                        2.281
                    
                                    
                        2.282
                    
                                    
                        2.283
                    
                                    
                        2.284
                    
                                    
                        2.285
                    
                            
                    Глава 3
                                    
                        3.1
                    
                                    
                        3.2
                    
                                    
                        3.3
                    
                                    
                        3.4
                    
                                    
                        3.5
                    
                                    
                        3.6
                    
                                    
                        3.7
                    
                                    
                        3.8
                    
                                    
                        3.9
                    
                                    
                        3.10
                    
                                    
                        3.11
                    
                                    
                        3.12
                    
                                    
                        3.13
                    
                                    
                        3.14
                    
                                    
                        3.15
                    
                                    
                        3.16
                    
                                    
                        3.17
                    
                                    
                        3.18
                    
                                    
                        3.19
                    
                                    
                        3.20
                    
                                    
                        3.21
                    
                                    
                        3.22
                    
                                    
                        3.23
                    
                                    
                        3.24
                    
                                    
                        3.25
                    
                                    
                        3.26
                    
                                    
                        3.27
                    
                                    
                        3.28
                    
                                    
                        3.29
                    
                                    
                        3.30
                    
                                    
                        3.31
                    
                                    
                        3.32
                    
                                    
                        3.33
                    
                                    
                        3.34
                    
                                    
                        3.35
                    
                                    
                        3.36
                    
                                    
                        3.37
                    
                                    
                        3.38
                    
                                    
                        3.39
                    
                                    
                        3.40
                    
                                    
                        3.41
                    
                                    
                        3.42
                    
                                    
                        3.43
                    
                                    
                        3.44
                    
                                    
                        3.45
                    
                                    
                        3.46
                    
                                    
                        3.47
                    
                                    
                        3.48
                    
                                    
                        3.49
                    
                                    
                        3.50
                    
                                    
                        3.51
                    
                                    
                        3.52
                    
                                    
                        3.53
                    
                                    
                        3.54
                    
                                    
                        3.55
                    
                                    
                        3.56
                    
                                    
                        3.57
                    
                                    
                        3.58
                    
                                    
                        3.59
                    
                                    
                        3.60
                    
                                    
                        3.61
                    
                                    
                        3.62
                    
                                    
                        3.63
                    
                                    
                        3.64
                    
                                    
                        3.65
                    
                                    
                        3.66
                    
                                    
                        3.67
                    
                                    
                        3.68
                    
                                    
                        3.69
                    
                                    
                        3.70
                    
                                    
                        3.71
                    
                                    
                        3.72
                    
                                    
                        3.73
                    
                                    
                        3.74
                    
                                    
                        3.75
                    
                                    
                        3.76
                    
                                    
                        3.77
                    
                                    
                        3.78
                    
                                    
                        3.79
                    
                                    
                        3.80
                    
                                    
                        3.81
                    
                                    
                        3.82
                    
                                    
                        3.83
                    
                                    
                        3.84
                    
                                    
                        3.85
                    
                                    
                        3.86
                    
                                    
                        3.87
                    
                                    
                        3.88
                    
                                    
                        3.89
                    
                                    
                        3.90
                    
                                    
                        3.91
                    
                                    
                        3.92
                    
                                    
                        3.93
                    
                                    
                        3.94
                    
                                    
                        3.95
                    
                                    
                        3.96
                    
                                    
                        3.97
                    
                                    
                        3.98
                    
                                    
                        3.99
                    
                                    
                        3.100
                    
                                    
                        3.101
                    
                                    
                        3.102
                    
                                    
                        3.103
                    
                                    
                        3.104
                    
                                    
                        3.105
                    
                                    
                        3.106
                    
                                    
                        3.107
                    
                                    
                        3.108
                    
                                    
                        3.109
                    
                                    
                        3.110
                    
                                    
                        3.111
                    
                                    
                        3.112
                    
                                    
                        3.113
                    
                                    
                        3.114
                    
                                    
                        3.115
                    
                                    
                        3.116
                    
                                    
                        3.117
                    
                                    
                        3.118
                    
                                    
                        3.119
                    
                                    
                        3.120
                    
                                    
                        3.121
                    
                                    
                        3.122
                    
                                    
                        3.123
                    
                                    
                        3.124
                    
                                    
                        3.125
                    
                                    
                        3.126
                    
                                    
                        3.127
                    
                                    
                        3.128
                    
                                    
                        3.129
                    
                                    
                        3.130
                    
                                    
                        3.131
                    
                                    
                        3.132
                    
                                    
                        3.133
                    
                                    
                        3.134
                    
                                    
                        3.135
                    
                                    
                        3.136
                    
                                    
                        3.137
                    
                                    
                        3.138
                    
                                    
                        3.139
                    
                                    
                        3.140
                    
                                    
                        3.141
                    
                                    
                        3.142
                    
                                    
                        3.143
                    
                                    
                        3.144
                    
                                    
                        3.145
                    
                                    
                        3.146
                    
                                    
                        3.147
                    
                                    
                        3.148
                    
                                    
                        3.149
                    
                                    
                        3.150
                    
                                    
                        3.151
                    
                                    
                        3.152
                    
                                    
                        3.153
                    
                                    
                        3.154
                    
                                    
                        3.155
                    
                                    
                        3.156
                    
                                    
                        3.157
                    
                                    
                        3.158
                    
                                    
                        3.159
                    
                                    
                        3.160
                    
                                    
                        3.161
                    
                                    
                        3.162
                    
                                    
                        3.163
                    
                                    
                        3.164
                    
                                    
                        3.165
                    
                                    
                        3.166
                    
                                    
                        3.167
                    
                                    
                        3.168
                    
                                    
                        3.169
                    
                                    
                        3.170
                    
                                    
                        3.171
                    
                                    
                        3.172
                    
                                    
                        3.173
                    
                                    
                        3.174
                    
                                    
                        3.175
                    
                                    
                        3.176
                    
                                    
                        3.177
                    
                                    
                        3.178
                    
                            
                    Готовая домашняя работа с ответами по Алгебре за 10 класс Арефьева, Пирютко Учебник Народная асвета 2019 - Глава 1 1.88