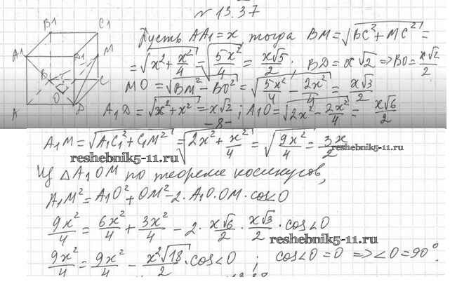
Геометрия за 10 класс Мерзляк Учебник Алгоритм успеха Базовый уровень Вентана-граф §13 13.37
Решебник / §13 / 13.37
 
                                §1. Основные понятия стереометрии. Аксиомы стереометрии
§2. Следствия из аксиом стереометрии
§3. Пространственные фигуры. Начальные представления о многогранниках
§4. Взаимное расположение двух прямых в пространстве
§5. Параллельность прямой и плоскости
§6. Параллельность плоскостей
§7. Преобразования фигур в пространстве
§8. Угол между прямыми в пространстве
§9. Перпендикулярность прямой и плоскости
§10. Перпендикуляр и наклонная
§11. Теорема о трёх перпендикулярах
§12. Угол между прямой и плоскостью
§13. Двугранный угол. Угол между плоскостями
Готовая домашняя работа с ответами по Геометрии за 10 класс Мерзляк, Номировский, Полонский, Якир Учебник Алгоритм успеха Базовый уровень Вентана-граф 2017 ФГОС - §13. Двугранный угол. Угол между плоскостями 13.37