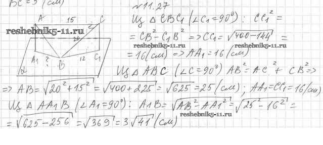
Геометрия за 10 класс Мерзляк Учебник Алгоритм успеха Углубленный уровень Вентана-граф §11 11.27
Решебник / §11 / 11.27
 
                                §1. Основные понятия стереометрии. Аксиомы стереометрии
§2. Следствия из аксиом стереометрии
§3. Пространственные фигуры. Начальные представления о многогранниках
§4. Взаимное расположение двух прямых в пространстве
§5. Параллельность прямой и плоскости
§6. Параллельность плоскостей
§7. Преобразования фигур в пространстве. параллельное проектирование
§8. Изображения плоских и пространственных фигур
§9. Угол между прямыми в пространстве
§10. Перпендикулярность прямой и плоскости
§11. Перпендикуляр и наклонная
§12. Теорема о трёх перпендикулярах
§13. Угол между прямой и плоскостью
§14. Двугранный угол. Угол между двумя плоскостями
Готовая домашняя работа с ответами по Геометрии за 10 класс Мерзляк, Номировский, Поляков Учебник Алгоритм успеха Углубленный уровень Вентана-граф 2021 ФГОС - §11. Перпендикуляр и наклонная 11.27