Информатика за 10 класс Семакин Учебник Базовый уровень Бином 1.3 4
Решебник / практикум / глава 1 / 1.3 / 4
 
                                §1. Понятие информации
§2. Представление информации, языки, кодирование
§3. Измерение информации. Алфавитный подход
§4. Измерение информации. Содержательный подход
§5. Представление чисел в компьютере
§6. Представление текста, изображения и звука
§7. Хранение информации
§8. Передача информации
§9. Обработка информации и алгоритмы
§10. Автоматическая обработка информации
§11. Информационные процессы в компьютере
§12. Алгоритмы и величины
§13. Структура алгоритмов
§14. Паскаль — язык структурного программирования
§15. Элементы языка Паскаль и типы данных
§16. Операции, функции, выражения
§17. Оператор присваивания, ввод и вывод данных
§18. Логические величины, операции, выражения
§19. Программирование ветвлений
§20. Пример поэтапной разработки программы решения задачи
§21. Программирование циклов
§22. Вложенные и итерационные циклы
§23. Вспомогательные алгоритмы и подпрограммы
§24. Массивы
§25. Организация ввода и вывода данных с использованием файлов
§26. Типовые задачи обработки массивов
§27. Символьный тип данных
§28. Строки символов
§29. Комбинированный тип данных
Практикум
Практические работы к главе 1 «Информация»
Работа 1.1. Шифрование данных
Работа 1.2. Измерение информации
Работа 1.3. Представление чисел
Работа 1.4. Представление текстов. Сжатие текстов
Работа 1.5. Представление изображения и звука
Практические работы к главе 2 «Информационные процессы»
Работа 2.1. Управление алгоритмическим исполнителем
Работа 2.2. Автоматическая обработка данных
Работа 2.3. Проектное задание. Выбор конфигурации компьютера
Практические работы к главе 3 «Программирование обработки информации»
Работа 3.1. Программирование линейных алгоритмов
Работа 3.2. Программирование логических выражений
Работа 3.3. Программирование ветвящихся алгоритмов
Задание 1
Задание 2
Задание 3
Работа 3.4. Программирование циклических алгоритмов
Задание 1
Задание 2
Задание 3
Работа 3.5. Программирование с использованием подпрограмм
Задание 1
Задание 2
Работа 3.6. Программирование обработки одномерных массивов
Работа 3.7. Программирование обработки двумерных массивов
Работа 3.8. Программирование обработки строк символов
Работа 3.9. Программирование обработки записей
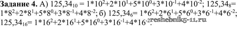
Готовая домашняя работа с ответами по Информатике за 10 класс Семакин, Хеннер, Шеина Учебник Базовый уровень Бином 2017 ФГОС - Работа 1.3. Представление чисел 4