Алгебра за 11 класс Шабунин Дидактические материалы Базовый уровень Просвещение пр-67 Вариант-1
Решебник / глава 12 / пр-67 / вариант-1







Глава 7. Тригонометрические функции
ПР-38
ПР-39
ПР-40
ПР-41
ПР-42
Контрольная работа 1
Глава 8. Производная и её геометрический смысл
ПР-44
ПР-45
ПР-46
ПР-47
ПР-48
Контрольная работа 2
Глава 9. Применение производной к исследованию функций
ПР-49
ПР-50
ПР-51
ПР-52
Контрольная работа 3
Глава 10. Интеграл
ПР-53
ПР-55
ПР-56
ПР-58
Контрольная работа 4
Глава 11. Комбинаторика
ПР-60
ПР-61
ПР-62
ПР-63
ПР-64
Контрольная работа 5
Глава 12. Элементы теории вероятностей
ПР-65
ПР-66
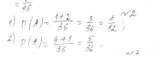
ПР-67
ПР-68
ПР-69
ПР-70
Контрольная работа 6
Глава 13. Статистика
ПР-71
ПР-72
ПР-73
Контрольная работа 7
Готовая домашняя работа с ответами по Алгебре за 11 класс Шабунин, Газарян, Ткачева, Федорова Дидактические материалы Базовый уровень Просвещение 2013 ФГОС - ПР-67 Вариант-1