Алгебра за 11 класс Шабунин Дидактические материалы Базовый уровень Просвещение пр-58 Вариант-1

Решебник / глава 10 / пр-58 / вариант-1

Глава 7. Тригонометрические функции

ПР-38

ПР-39

ПР-40

ПР-41

ПР-42

Контрольная работа 1

Глава 8. Производная и её геометрический смысл

ПР-44

ПР-45

ПР-46

ПР-47

ПР-48

Контрольная работа 2

Глава 9. Применение производной к исследованию функций

ПР-49

ПР-50

ПР-51

ПР-52

Контрольная работа 3

Глава 10. Интеграл

ПР-53

ПР-55

ПР-56

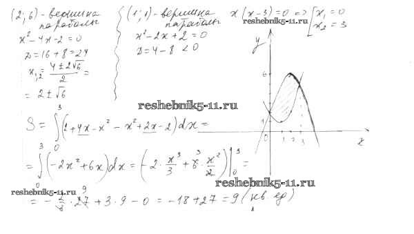
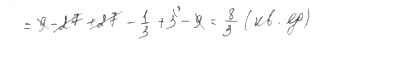
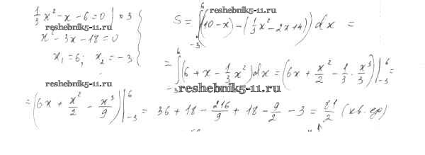
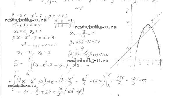
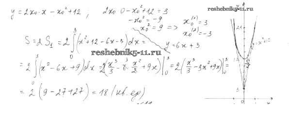
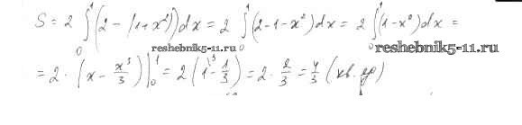
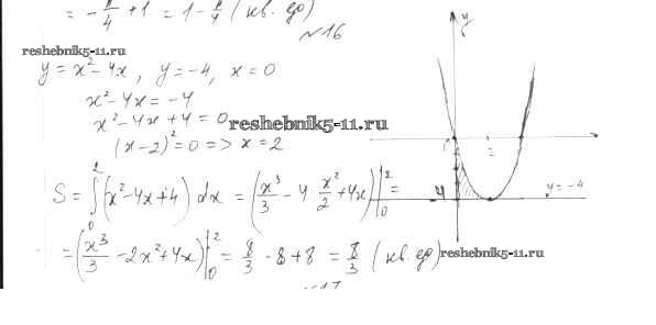
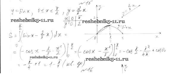
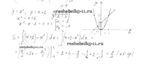
ПР-58

Контрольная работа 4

Глава 11. Комбинаторика

ПР-60

ПР-61

ПР-62

ПР-63

ПР-64

Контрольная работа 5

Глава 12. Элементы теории вероятностей

ПР-65

ПР-66

ПР-67

ПР-68

ПР-69

ПР-70

Контрольная работа 6

Глава 13. Статистика

ПР-71

ПР-72

ПР-73

Контрольная работа 7

Готовая домашняя работа с ответами по Алгебре за 11 класс Шабунин, Газарян, Ткачева, Федорова Дидактические материалы Базовый уровень Просвещение 2013 ФГОС - ПР-58 Вариант-1