Математика за 5 класс Попов Дидактические материалы УМК Экзамен кр №10 вариант №4

Решебник 1 / контрольная работа / кр №10 / вариант №4

Решебник 2 / контрольная работа / кр №10 / вариант №4

Контрольные работы

КР №1. Обозначение натуральных чисел. Отрезок. Длина отрезка. Треугольник

КР №2. Сложение натуральных чисел и его свойства. Вычитание

КР №3. Числовые и буквенные выражения. Уравнение

КР №4. Умножение натуральных чисел и его свойства. Деление. Деление с остатком

КР №5. Упрощение выражений. Порядок выполнения действий. Квадрат и куб числа

КР №6. Формулы. Площадь. Формула площади прямоугольника

КР №7. Окружность и круг. Доли. Обыкновенные дроби. Сравнение дробей

КР №8. Сложение и вычитание дробей с одинаковыми знаменателями. Деление и дроби

КР №9. Десятичная запись дробных чисел. Сравнение десятичных дробей

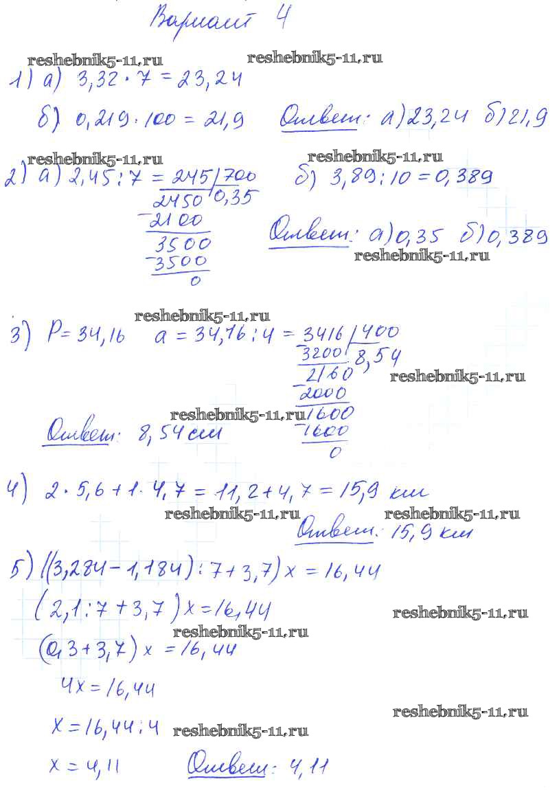
КР №10. Умножение и деление десятичных дробей на натуральные числа

КР №11. Умножение десятичных дробей. Деление на десятичную дробь

КР №12. Микрокалькулятор. Проценты

КР №13. Угол. Чертежный треугольник. Транспортир

КР №14. Итоговая

Самостоятельные работы

СР №1. Обозначение натуральных чисел

СР №2. Отрезок. Длина отрезка. Треугольник

СР №3. Плоскость. Прямая. Луч

СР №4. Шкалы и координаты

СР №5. Меньше или больше

СР №6. Сложение натуральных чисел и его свойства

СР №7. Вычитание

СР №8. Числовые и буквенные выражения

СР №9. Буквенная запись свойств сложения и вычитания

СР №10. Уравнения

СР №11. Умножение натуральных чисел и его свойства

СР №12. Деление

СР №13. Деление с остатком

СР №14. Упрощение выражений

СР №15. Порядок выполнения действий

СР №16. Квадрат и куб числа

СР №17. Формулы

СР №18. Площадь. Формула площади прямоугольника

СР №19. Единицы измерения площадей

СР №20. Прямоугольный параллелепипед

СР №21. Объемы. Объем прямоугольного параллелепипеда

СР №22. Окружность и круг

СР №23. Доли. Обыкновенные дроби

СР №24. Сравнение дробей

СР №25. Правильные и неправильные дроби

СР №26. Сложение и вычитание дробей с одинаковыми знаменателями

СР №27. Деление и дроби

СР №28. Смешанные числа

СР №29. Сложение и вычитание смешанных чисел

СР №30. Десятичная запись дробных чисел

СР №31. Сравнение десятичных дробей

СР №32. Сложение и вычитание десятичных дробей

СР №33. Приближенные значения чисел. Округление чисел

СР №34. Умножение десятичных дробей на натуральные числа

СР №35. Деление десятичных дробей на натуральные числа

СР №36. Умножение десятичных дробей

СР №37. Деление на десятичную дробь

СР №38. Среднее арифметическое

СР №39. Микрокалькулятор

СР №40. Проценты

СР №41. Угол. Прямой и развернутый угол. Чертежный треугольник

СР №42. Измерение углов. Транспортир

СР №43. Круговые диаграммы

Задания на смекалку и логику

Готовая домашняя работа с ответами по Математике за 5 класс Попов Дидактические материалы УМК Экзамен 2017 ФГОС - КР №10. Умножение и деление десятичных дробей на натуральные числа вариант №4