Математика за 5 класс Попов Дидактические материалы УМК Экзамен кр №6 вариант №4
Решебник 1 / контрольная работа / кр №6 / вариант №4

Решебник 2 / контрольная работа / кр №6 / вариант №4

Контрольные работы
КР №1. Обозначение натуральных чисел. Отрезок. Длина отрезка. Треугольник
КР №2. Сложение натуральных чисел и его свойства. Вычитание
КР №3. Числовые и буквенные выражения. Уравнение
КР №4. Умножение натуральных чисел и его свойства. Деление. Деление с остатком
КР №5. Упрощение выражений. Порядок выполнения действий. Квадрат и куб числа
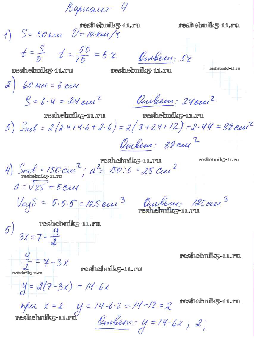
КР №6. Формулы. Площадь. Формула площади прямоугольника
КР №7. Окружность и круг. Доли. Обыкновенные дроби. Сравнение дробей
КР №8. Сложение и вычитание дробей с одинаковыми знаменателями. Деление и дроби
КР №9. Десятичная запись дробных чисел. Сравнение десятичных дробей
КР №10. Умножение и деление десятичных дробей на натуральные числа
КР №11. Умножение десятичных дробей. Деление на десятичную дробь
КР №12. Микрокалькулятор. Проценты
КР №13. Угол. Чертежный треугольник. Транспортир
КР №14. Итоговая
Самостоятельные работы
СР №1. Обозначение натуральных чисел
СР №2. Отрезок. Длина отрезка. Треугольник
СР №3. Плоскость. Прямая. Луч
СР №4. Шкалы и координаты
СР №5. Меньше или больше
СР №6. Сложение натуральных чисел и его свойства
СР №7. Вычитание
СР №8. Числовые и буквенные выражения
СР №9. Буквенная запись свойств сложения и вычитания
СР №10. Уравнения
СР №11. Умножение натуральных чисел и его свойства
СР №12. Деление
СР №13. Деление с остатком
СР №14. Упрощение выражений
СР №15. Порядок выполнения действий
СР №16. Квадрат и куб числа
СР №17. Формулы
СР №18. Площадь. Формула площади прямоугольника
СР №19. Единицы измерения площадей
СР №20. Прямоугольный параллелепипед
СР №21. Объемы. Объем прямоугольного параллелепипеда
СР №22. Окружность и круг
СР №23. Доли. Обыкновенные дроби
СР №24. Сравнение дробей
СР №25. Правильные и неправильные дроби
СР №26. Сложение и вычитание дробей с одинаковыми знаменателями
СР №27. Деление и дроби
СР №28. Смешанные числа
СР №29. Сложение и вычитание смешанных чисел
СР №30. Десятичная запись дробных чисел
СР №31. Сравнение десятичных дробей
СР №32. Сложение и вычитание десятичных дробей
СР №33. Приближенные значения чисел. Округление чисел
СР №34. Умножение десятичных дробей на натуральные числа
СР №35. Деление десятичных дробей на натуральные числа
СР №36. Умножение десятичных дробей
СР №37. Деление на десятичную дробь
СР №38. Среднее арифметическое
СР №39. Микрокалькулятор
СР №40. Проценты
СР №41. Угол. Прямой и развернутый угол. Чертежный треугольник
СР №42. Измерение углов. Транспортир
СР №43. Круговые диаграммы
Задания на смекалку и логику
Готовая домашняя работа с ответами по Математике за 5 класс Попов Дидактические материалы УМК Экзамен 2017 ФГОС - КР №6. Формулы. Площадь. Формула площади прямоугольника вариант №4