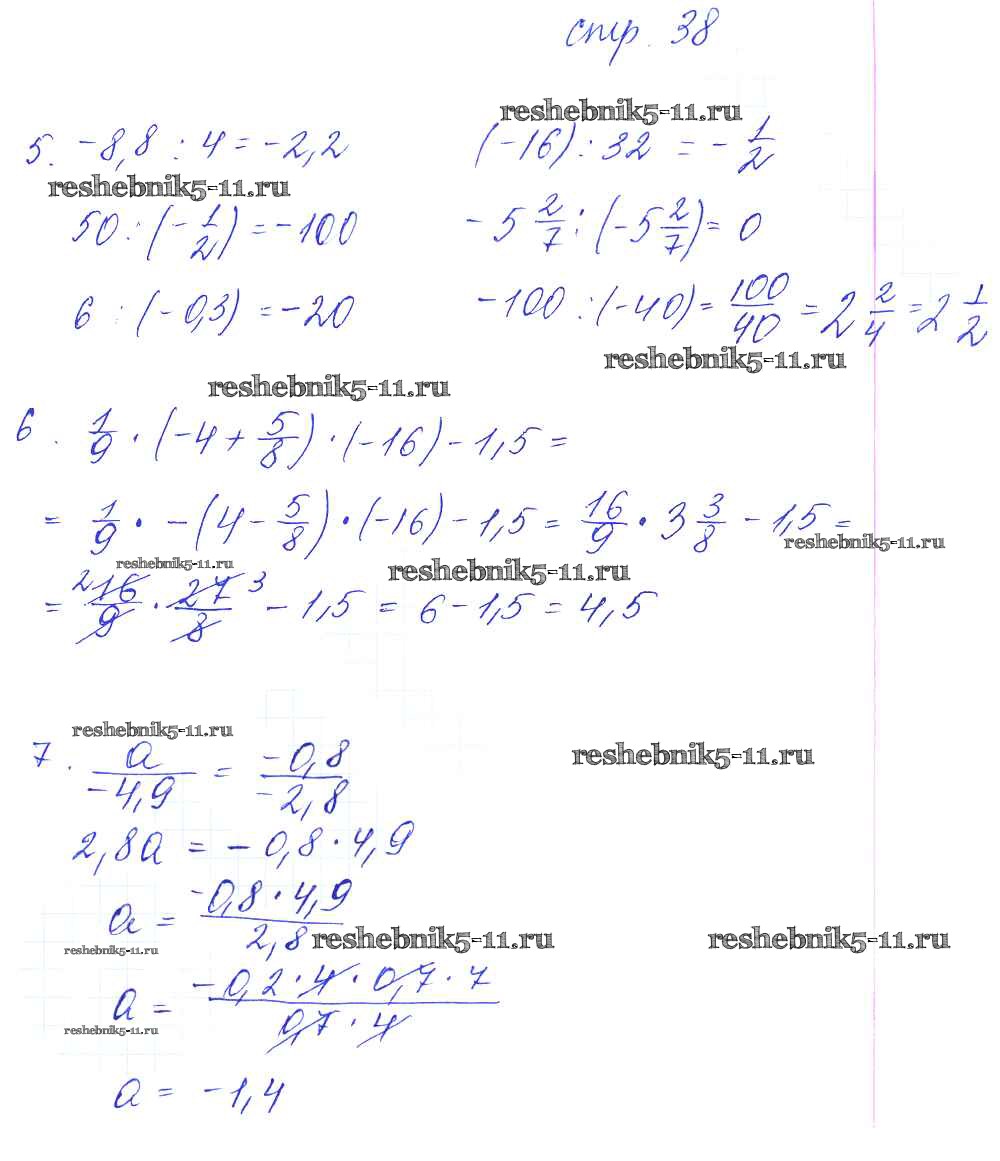
Математика за 6 класс Рудницкая Рабочая тетрадь УМК Экзамен часть 2. страница 38
Решебник / часть 2. страница / 38

Часть 1. Страницы
Часть 2. Страницы
Готовая домашняя работа с ответами по Математике за 6 класс Рудницкая Рабочая тетрадь УМК Часть 1, 2 Экзамен 2013 ФГОС - Часть 2. Страницы 38