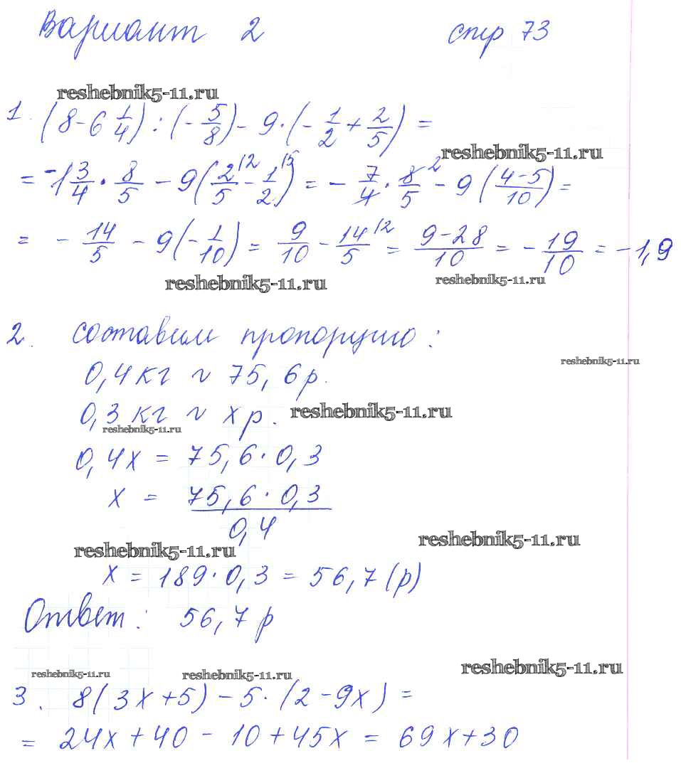
Математика за 6 класс Рудницкая Рабочая тетрадь УМК Экзамен часть 2. страница 73
Решебник / часть 2. страница / 73

Часть 1. Страницы
Часть 2. Страницы
Готовая домашняя работа с ответами по Математике за 6 класс Рудницкая Рабочая тетрадь УМК Часть 1, 2 Экзамен 2013 ФГОС - Часть 2. Страницы 73