Математика за 6 класс Дудницын Контрольные работы УМК Экзамен кр-11. вариант 3
Решебник / кр-11. вариант / 3

КР-1. Варианты
КР-2. Варианты
КР-3. Варианты
КР-4. Варианты
КР-5. Варианты
КР-6. Варианты
КР-7. Варианты
КР-8. Варианты
КР-9. Варианты
КР-10. Варианты
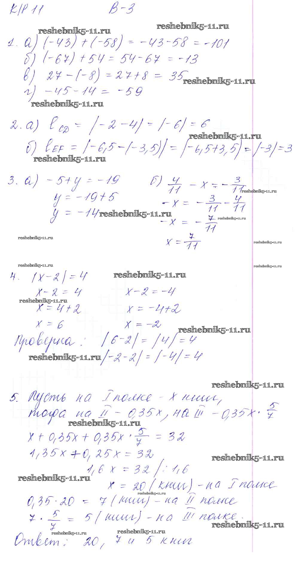
КР-11. Варианты
КР-12. Варианты
КР-13. Варианты
КР-14. Варианты
КР-15. Варианты
КР-16. Варианты
Готовая домашняя работа с ответами по Математике за 6 класс Дудницын, Кронгауз Контрольные работы УМК Экзамен 2013 ФГОС - КР-11. Варианты 3