Математика за 6 класс Дудницын Контрольные работы УМК Экзамен кр-13. вариант 1
Решебник / кр-13. вариант / 1

КР-1. Варианты
КР-2. Варианты
КР-3. Варианты
КР-4. Варианты
КР-5. Варианты
КР-6. Варианты
КР-7. Варианты
КР-8. Варианты
КР-9. Варианты
КР-10. Варианты
КР-11. Варианты
КР-12. Варианты
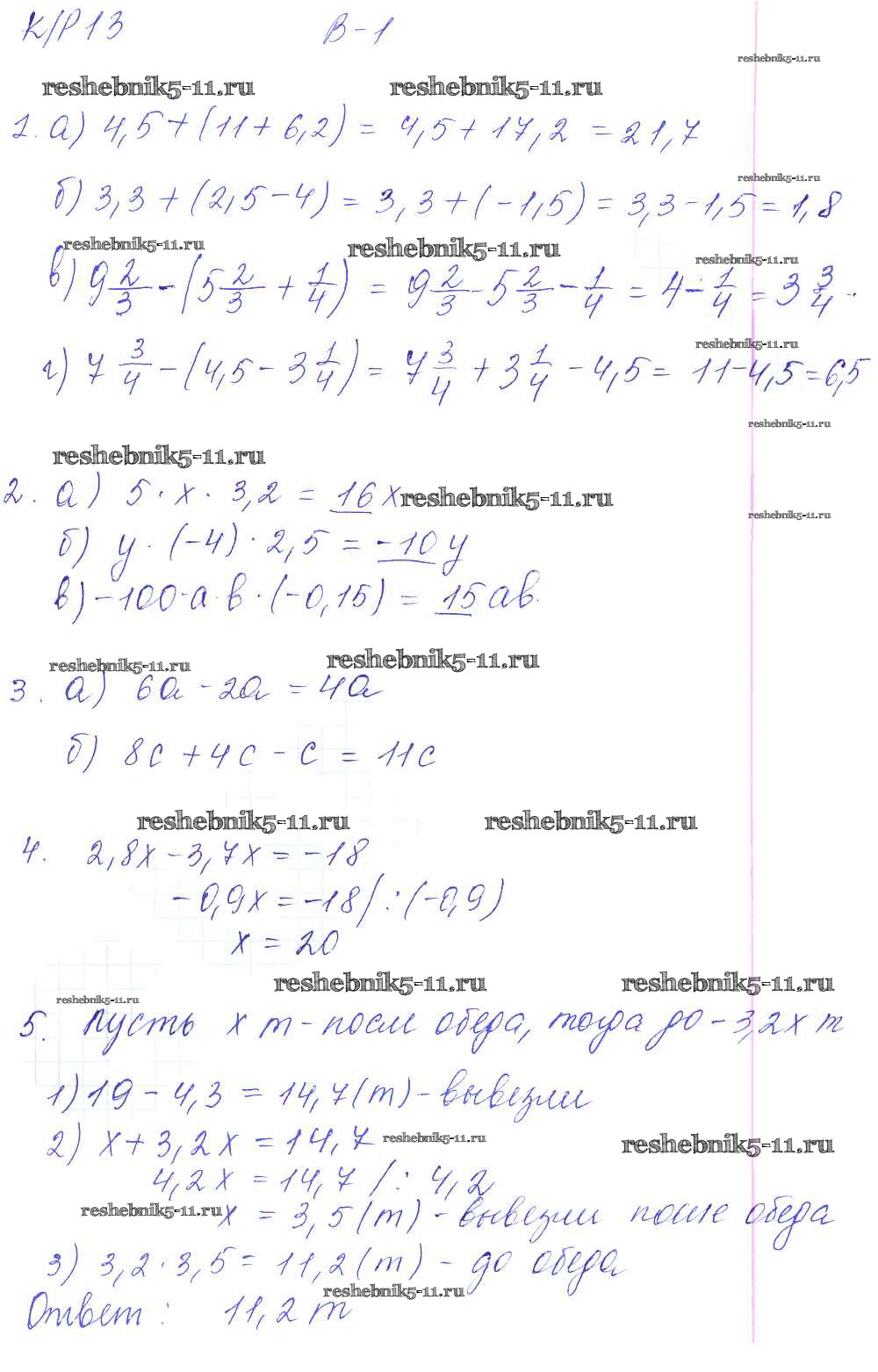
КР-13. Варианты
КР-14. Варианты
КР-15. Варианты
КР-16. Варианты
Готовая домашняя работа с ответами по Математике за 6 класс Дудницын, Кронгауз Контрольные работы УМК Экзамен 2013 ФГОС - КР-13. Варианты 1