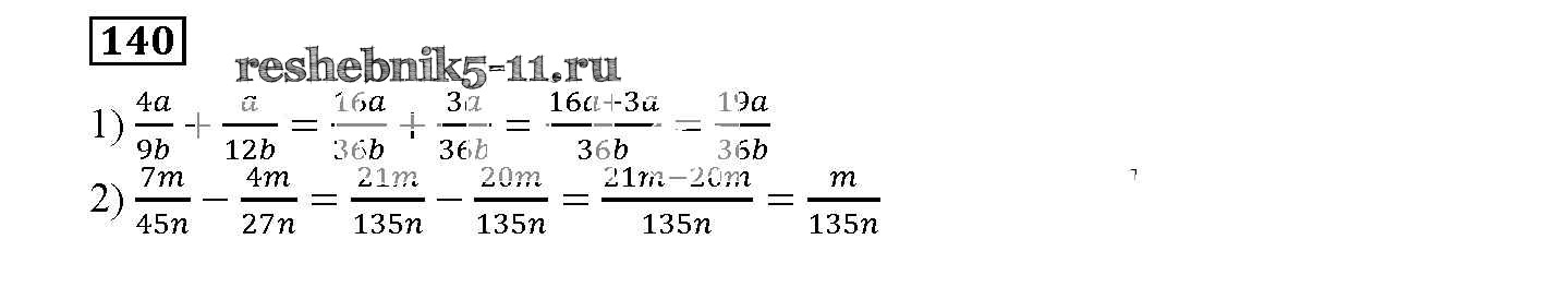
Математика за 6 класс Мерзляк Рабочая тетрадь Алгоритм успеха Вентана-граф часть 1. страница 44
Решебник 1 / часть 1. страница / 44

Решебник 2 / часть 1. страница / 44




Решебник 3 / часть 1. страница / 44




Часть 1. Страницы
Часть 2. Страницы
Часть 3. Страницы
Готовая домашняя работа с ответами по Математике за 6 класс Мерзляк, Полонский, Якир Рабочая тетрадь Алгоритм успеха Часть 1, 2, 3 Вентана-граф 2019 ФГОС - Часть 1. Страницы 44