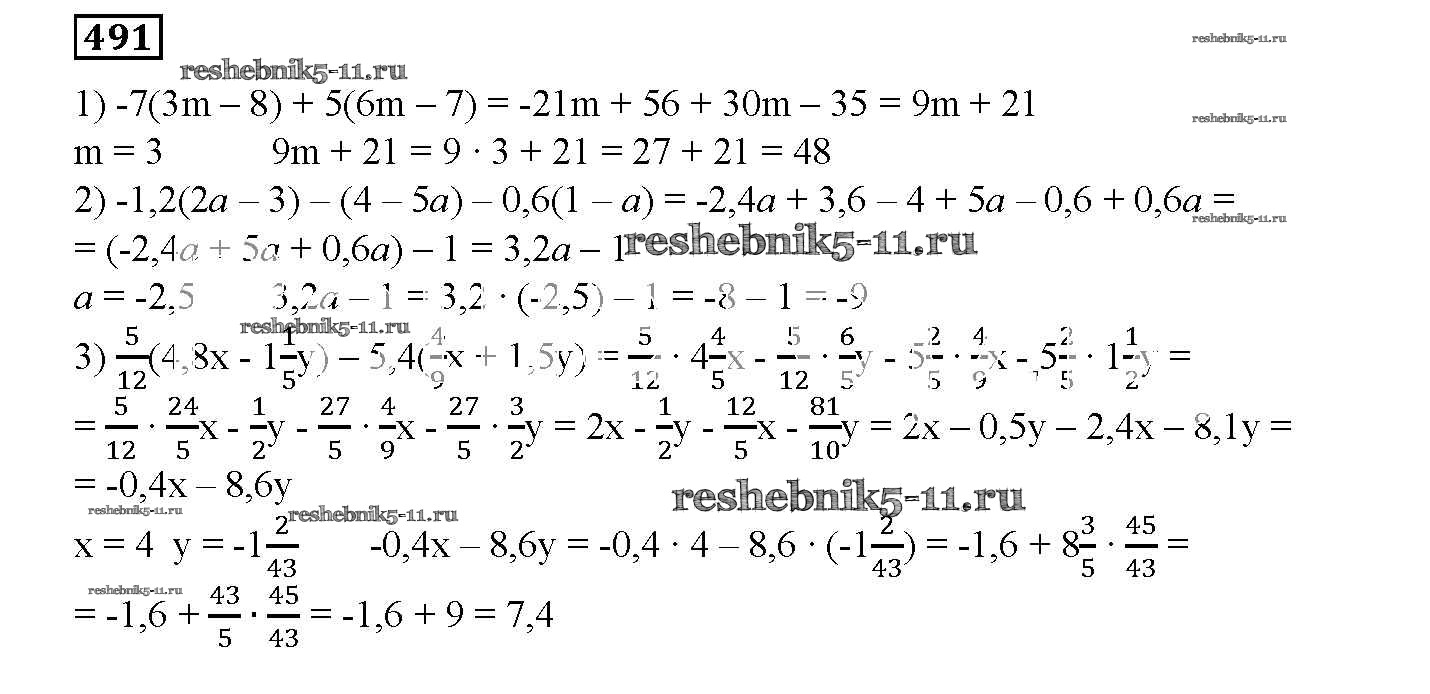
Математика за 6 класс Мерзляк Рабочая тетрадь Алгоритм успеха Вентана-граф часть 3. страница 38
Решебник 1 / часть 3. страница / 38

Решебник 2 / часть 3. страница / 38


Решебник 3 / часть 3. страница / 38


Часть 1. Страницы
Часть 2. Страницы
Часть 3. Страницы
Готовая домашняя работа с ответами по Математике за 6 класс Мерзляк, Полонский, Якир Рабочая тетрадь Алгоритм успеха Часть 1, 2, 3 Вентана-граф 2019 ФГОС - Часть 3. Страницы 38