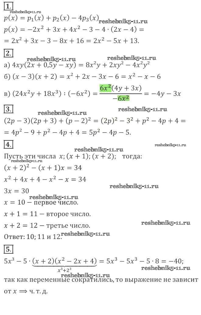
Алгебра за 7 класс Александрова Контрольные работы Мнемозина кр-5. вариант 1
Решебник 1 / контрольная работа / кр-5. вариант / 1

Решебник 2 / контрольная работа / кр-5. вариант / 1


Решебник 3 / контрольная работа / кр-5. вариант / 1

Готовая домашняя работа с ответами по Алгебре за 7 класс Александрова Контрольные работы Мнемозина 2017 ФГОС - КР-5. Варианты 1