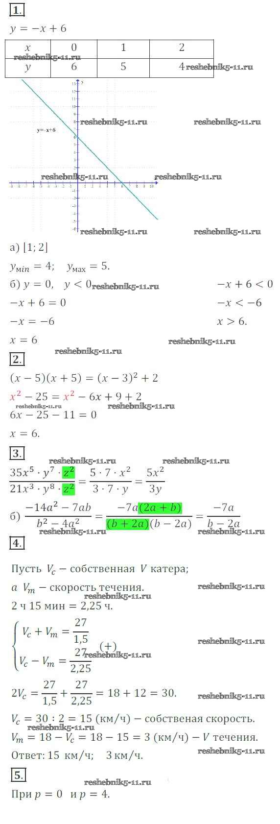
Алгебра за 7 класс Александрова Контрольные работы Мнемозина итоговая контрольная работа. вариант 1
Решебник 1 / контрольная работа / итоговая контрольная работа. вариант / 1

Решебник 2 / контрольная работа / итоговая контрольная работа. вариант / 1


Решебник 3 / контрольная работа / итоговая контрольная работа. вариант / 1

Готовая домашняя работа с ответами по Алгебре за 7 класс Александрова Контрольные работы Мнемозина 2017 ФГОС - Итоговая контрольная работа. Варианты 1