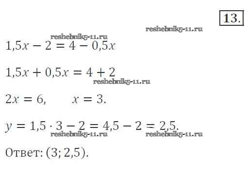
Алгебра за 7 класс Ерина Рабочая тетрадь УМК Экзамен часть 1. страница 79
Решебник / часть 1. страница / 79

Часть 1. Страницы
Часть 2. Страницы
Готовая домашняя работа с ответами по Алгебре за 7 класс Ерина Рабочая тетрадь УМК Часть 1, 2 Экзамен 2013 ФГОС - Часть 1. Страницы 79