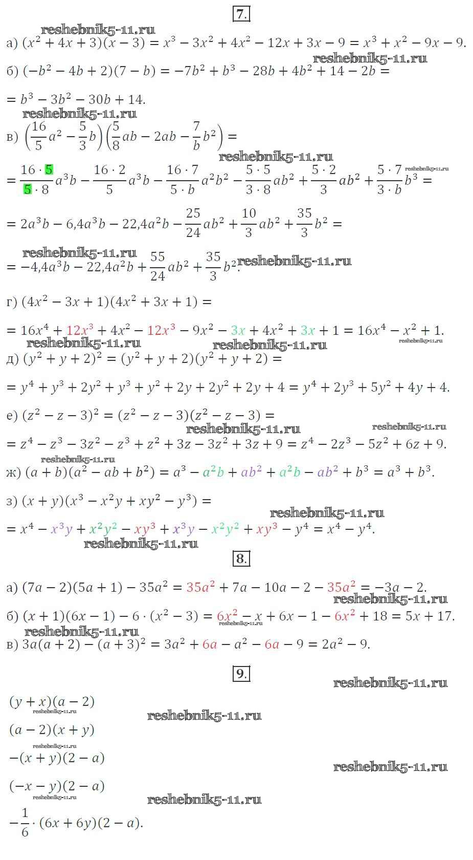
Алгебра за 7 класс Ерина Рабочая тетрадь УМК Экзамен часть 2. страница 25
Решебник / часть 2. страница / 25

Часть 1. Страницы
Часть 2. Страницы
Готовая домашняя работа с ответами по Алгебре за 7 класс Ерина Рабочая тетрадь УМК Часть 1, 2 Экзамен 2013 ФГОС - Часть 2. Страницы 25