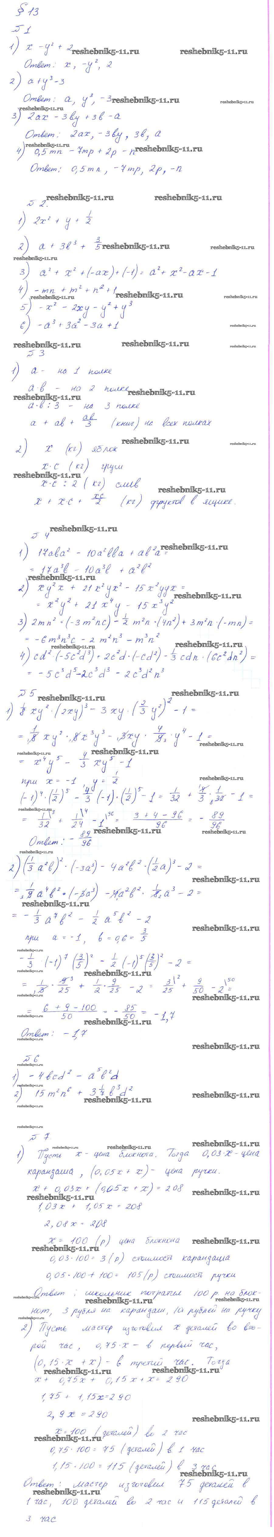
Алгебра за 7 класс Ткачева Дидактические материалы УМК Просвещение параграф 13
Решебник / параграф / 13

Готовая домашняя работа с ответами по Алгебре за 7 класс Ткачева, Федорова, Шабунин Дидактические материалы УМК Просвещение 2012 ФГОС - Параграфы 13