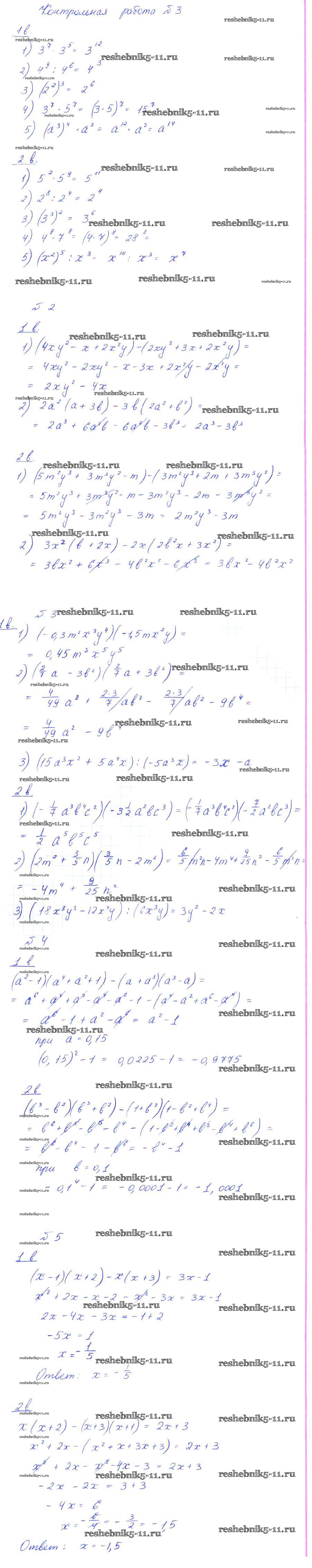
Алгебра за 7 класс Ткачева Дидактические материалы УМК Просвещение контрольная работа 3
Решебник / контрольная работа / 3

Готовая домашняя работа с ответами по Алгебре за 7 класс Ткачева, Федорова, Шабунин Дидактические материалы УМК Просвещение 2012 ФГОС - Контрольные работы 3