Алгебра за 7 класс Минаева Рабочая тетрадь Просвещение страница 101
Решебник / страница / 101

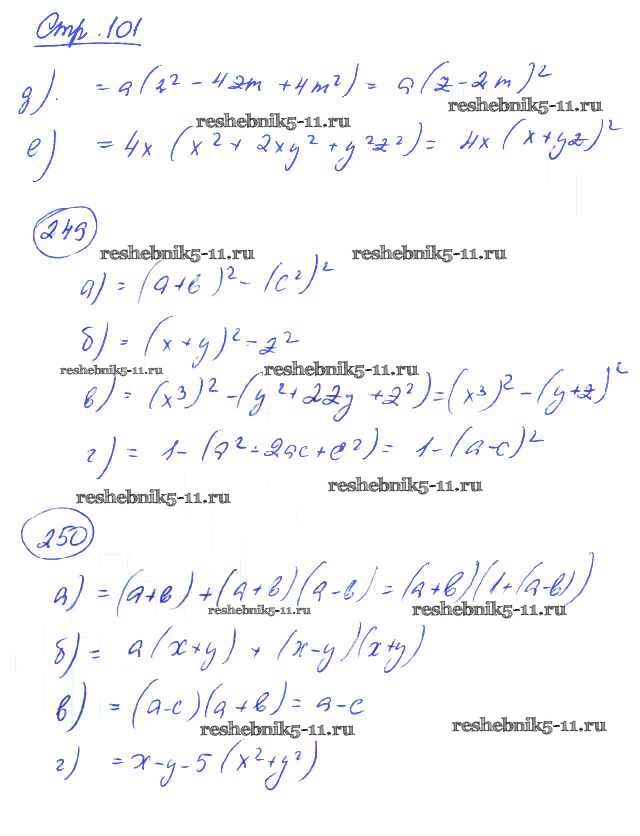
Готовая домашняя работа с ответами по Алгебре за 7 класс Минаева, Рослова Рабочая тетрадь Просвещение 2018 ФГОС - Страницы 101
Готовая домашняя работа с ответами по Алгебре за 7 класс Минаева, Рослова Рабочая тетрадь Просвещение 2018 ФГОС - Страницы 101