Алгебра за 7 класс Минаева Рабочая тетрадь Просвещение страница 82
Решебник / страница / 82

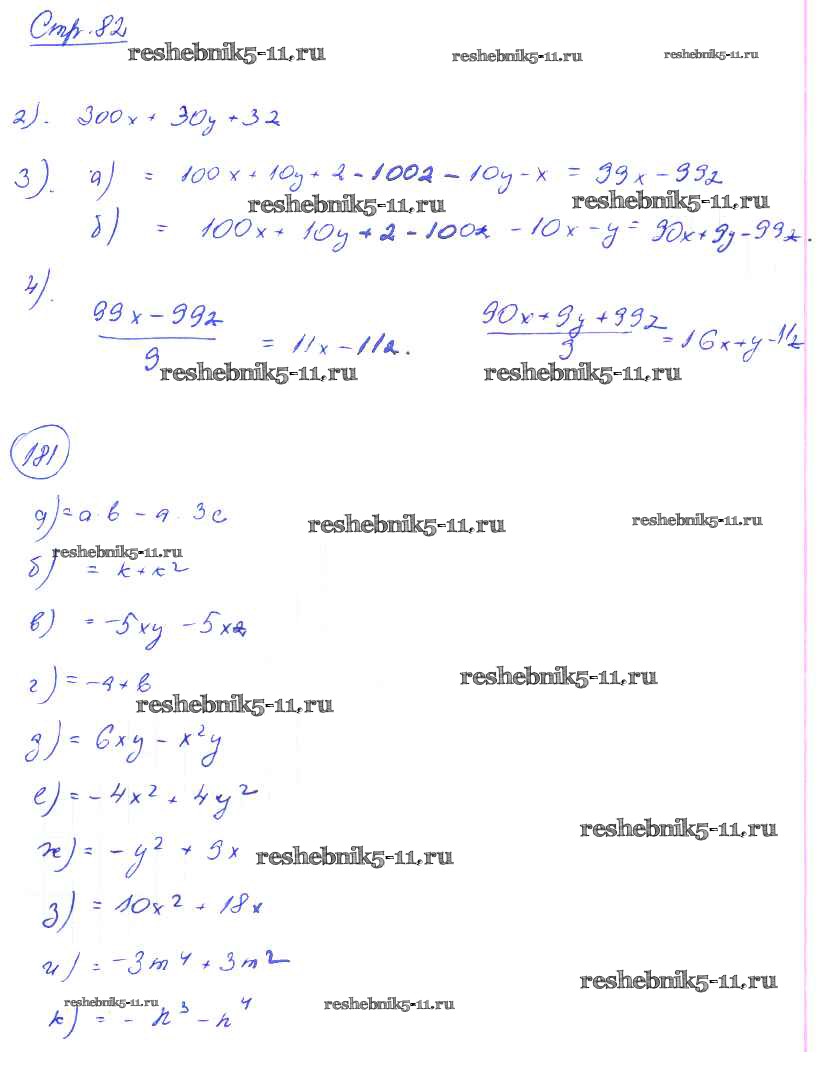
Готовая домашняя работа с ответами по Алгебре за 7 класс Минаева, Рослова Рабочая тетрадь Просвещение 2018 ФГОС - Страницы 82
Готовая домашняя работа с ответами по Алгебре за 7 класс Минаева, Рослова Рабочая тетрадь Просвещение 2018 ФГОС - Страницы 82