Алгебра за 7 класс Глазков Самостоятельные и контрольные работы УМК Экзамен ср-25 вариант 2
Решебник / самостоятельная работа / ср-25 / вариант 2

Самостоятельные работы
СР-1 (варианты)
СР-2
СР-3
СР-4
СР-5
СР-6
СР-7
СР-8
СР-9
СР-10
СР-11
СР-12
СР-13
СР-14
СР-15
СР-16
СР-17
СР-18
СР-19
СР-20
СР-21
СР-22
СР-23
СР-24
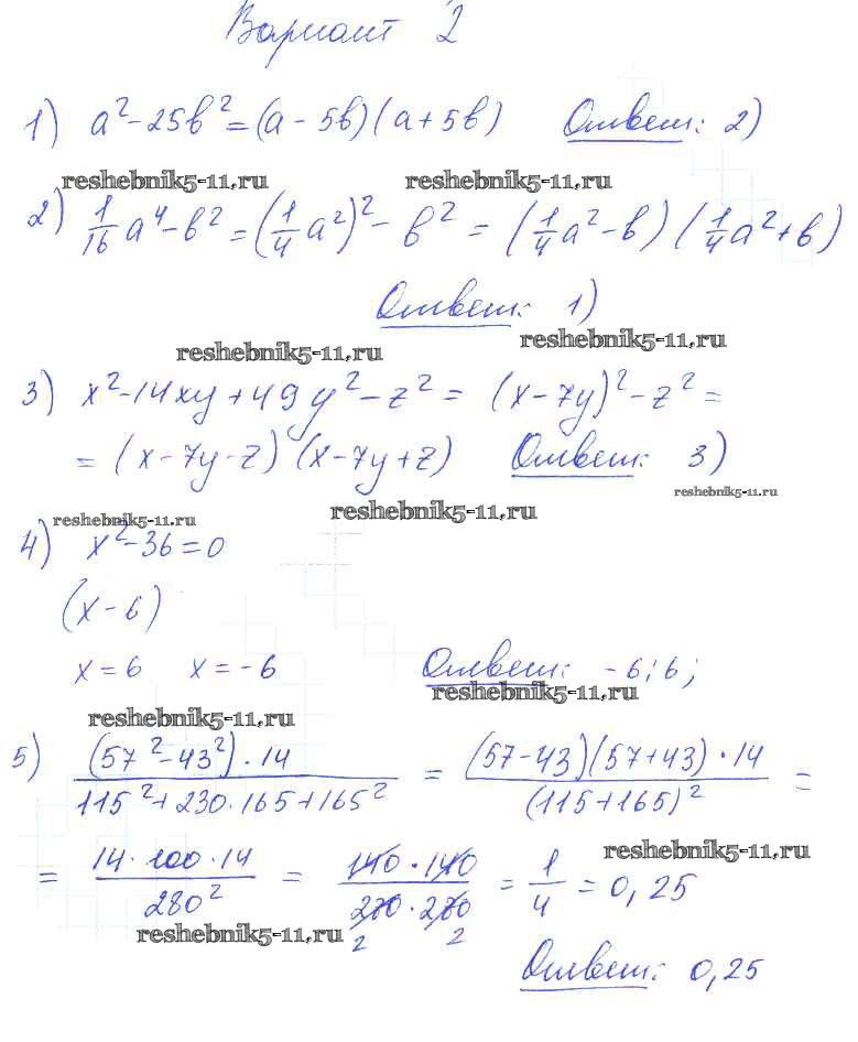
СР-25
СР-26
СР-27
СР-28
СР-29
СР-30
СР-31
СР-32
СР-33
Контрольные работы
КР-1 (варианты)
КР-2
КР-3
КР-4
КР-5
КР-6
КР-7
КР-8
КР-9
КР-10
Готовая домашняя работа с ответами по Алгебре за 7 класс Глазков, Гаиашвили Самостоятельные и контрольные работы УМК Экзамен 2019 ФГОС - СР-25 вариант 2