Алгебра за 7 класс Глазков Самостоятельные и контрольные работы УМК Экзамен кр-7 вариант 3

Решебник / контрольная работа / кр-7 / вариант 3

Самостоятельные работы

СР-1 (варианты)

СР-2

СР-3

СР-4

СР-5

СР-6

СР-7

СР-8

СР-9

СР-10

СР-11

СР-12

СР-13

СР-14

СР-15

СР-16

СР-17

СР-18

СР-19

СР-20

СР-21

СР-22

СР-23

СР-24

СР-25

СР-26

СР-27

СР-28

СР-29

СР-30

СР-31

СР-32

СР-33

Контрольные работы

КР-1 (варианты)

КР-2

КР-3

КР-4

КР-5

КР-6

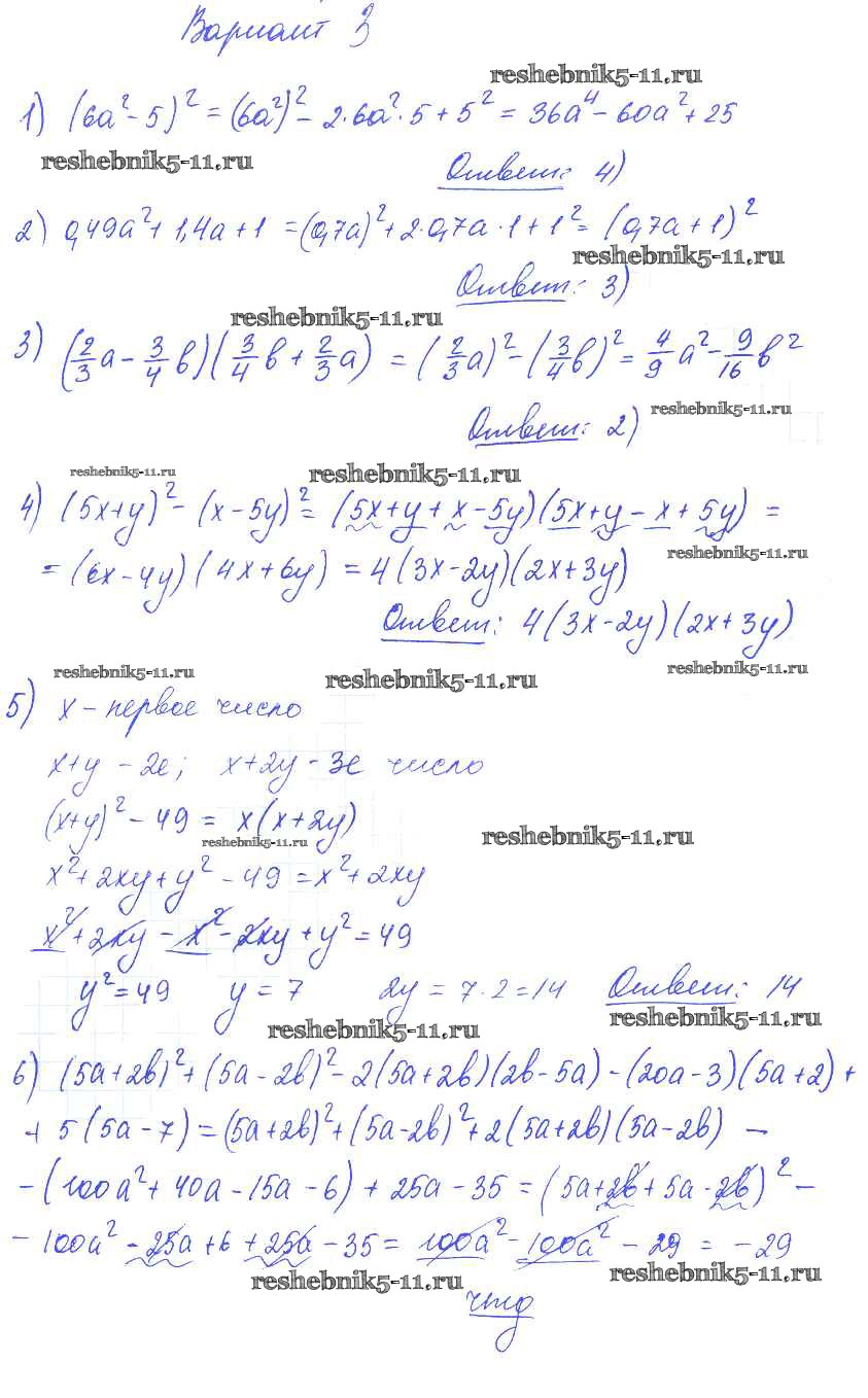
КР-7

КР-8

КР-9

КР-10

Готовая домашняя работа с ответами по Алгебре за 7 класс Глазков, Гаиашвили Самостоятельные и контрольные работы УМК Экзамен 2019 ФГОС - КР-7 вариант 3