Алгебра за 7 класс Звавич Дидактические материалы Просвещение вариант 2 k-1

Решебник / контрольная работа / вариант 2 / 1

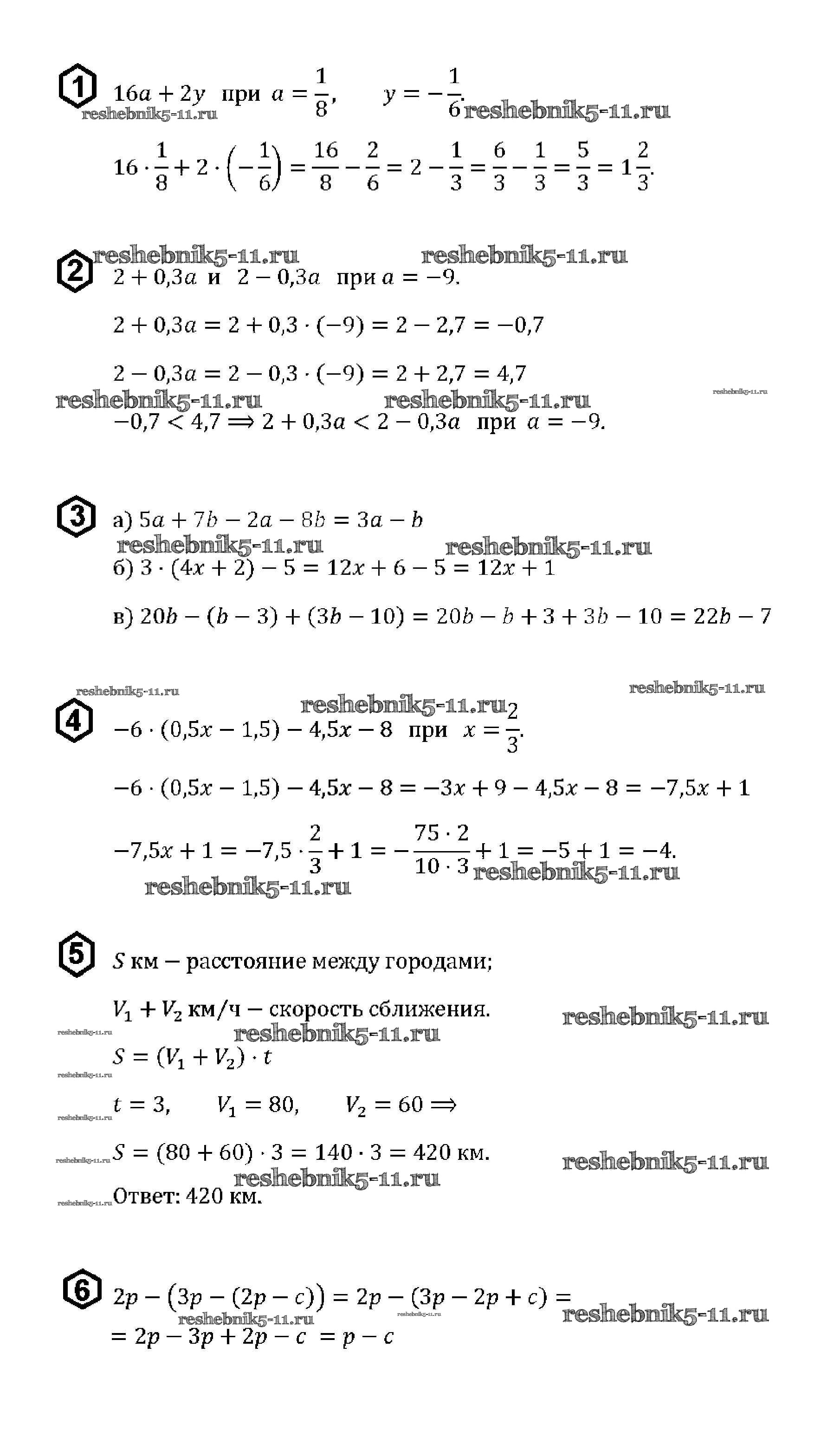
Решебник 2 / контрольная работа / вариант 2 / 1

Самостоятельные работы. Варианты

Вариант 1

С-1. Вычисление значения числового выражения С-2. Вычисление значения числового выражения С-3. Решение задач на проценты С-4. Нахождение значений буквенных выражений С-5. Сравнение значений выражений С-6. Применение свойств действий над числами к вычислениям С-7. Приведение подобных слагаемых и раскрытие скобок С-8. Решение линейных уравнений С-9. Решение уравнений, сводящихся к линейным С-10. Решение задач с помощью уравнений С-11. Построение точек в координатной плоскости С-12. Нахождение значений функции по формуле. Статистические характеристики С-13. Построение графика функции вида у = кх + y С-14. Построение графика функции вида у = кх С-15. Чтение графика линейной функции С-16. Взаимное расположение графиков на координатной плоскости С-17. Построение и чтение графиков линейных функций (практические задания) С-18. Вычисление значения числового выражения, содержащего степень С-19. Вычисление значения буквенного выражения, содержащего степень С-20. Умножение и деление степеней с одинаковыми основаниями С-21. Возведение в степень произведения и степени С-22. Различные преобразования выражений, содержащих степени С-23. Вычисление значения одночлена С-24. Умножение многочленов и возведение одночлена в степень С-25. Приведение многочленов к стандартному виду С-26. Сложение и вычитание многочленов С-27. Заключение многочленов в скобки С-28. Умножение одночлена на многочлен С-29. Решение уравнений С-30. Решение уравнений С-31. Решение задач С-32. Вынесение общего множителя за скобки С-33. Умножение многочленов С-34. Умножение многочленов С-35. Разложение многочленов на множители способом группировки С-36. Чтение и запись алгебраических выражений С-37. Возведение в квадрат по формулам С-38. Преобразование выражений с применением формул квадрата суммы и квадрата разности С-39. Разложение на множители с помощью формул квадрата суммы и квадрата разности С-40. Умножение многочленов с использованием формулы (a-fe)(a + 6) = a2-fe2 С-41. Применение формул к преобразованию выражений С-42. Разложение на множители по формуле С-43. Преобразование целых выражений С-44. Разложение многочленов на множители с использованием нескольких способов С-45. Графическое решение систем линейных уравнений С-46. Решение систем линейных уравнений способом подстановки С-47. Решение систем линейных уравнений способом сложения С-48. Решение систем линейных уравнений С-49. Составление системы уравнений по условию задачи С-50. Решение задач с помощью составления системы уравнений

Вариант 2

С-1. Вычисление значения числового выражения С-2. Вычисление значения числового выражения С-3. Решение задач на проценты С-4. Нахождение значений буквенных выражений С-5. Сравнение значений выражений С-6. Применение свойств действий над числами к вычислениям С-7. Приведение подобных слагаемых и раскрытие скобок С-8. Решение линейных уравнений С-9. Решение уравнений, сводящихся к линейным С-10. Решение задач с помощью уравнений С-11. Построение точек в координатной плоскости С-12. Нахождение значений функции по формуле. Статистические характеристики С-13. Построение графика функции вида у = кх + y С-14. Построение графика функции вида у = кх С-15. Чтение графика линейной функции С-16. Взаимное расположение графиков на координатной плоскости С-17. Построение и чтение графиков линейных функций (практические задания) С-18. Вычисление значения числового выражения, содержащего степень С-19. Вычисление значения буквенного выражения, содержащего степень С-20. Умножение и деление степеней с одинаковыми основаниями С-21. Возведение в степень произведения и степени С-22. Различные преобразования выражении, содержащих степени С-23. Вычисление значения одночлена С-24. Умножение многочленов и возведение одночлена в степень С-25. Приведение многочленов к стандартному виду С-26. Сложение и вычитание многочленов С-27. Заключение многочленов в скобки С-28. Умножение одночлена на многочлен С-29. Решение уравнений С-30. Решение уравнений С-31. Решение задач С-32. Вынесение общего множителя за скобки С-33. Умножение многочленов С-34. Умножение многочленов С-35. Разложение многочленов на множители способом группировки С-36. Чтение и запись алгебраических выражений С-37. Возведение в квадрат по формулам С-38. Преобразование выражений с применением формул квадрата суммы и квадрата разности С-39. Разложение на множители с помощью формул квадрата суммы и квадрата разности С-40. Умножение многочленов с использованием формулы С-41. Применение формул к преобразованию выражений С-42. Разложение на множители по формуле С-43. Преобразование целых выражений С-44. Разложение многочленов на множители с использованием нескольких способов С-45. Графическое решение систем линейных уравнений С-46. Решение систем линейных уравнений способом подстановки С-47. Решение систем линейных уравнений способом сложения С-48. Решение систем линейных уравнений С-49. Составление системы уравнений по условию задачи С-50. Решение задач с помощью составления системы уравнений

Контрольные работы

Вариант 1

Вариант 2

Вариант 3

Вариант 4

Олимпиады

Осенняя. Варианты

Новогодняя. Варианты

Весенняя. Варианты

Готовая домашняя работа с ответами по Алгебре за 7 класс Звавич, Кузнецова, Суворова Дидактические материалы Просвещение 2012 ФГОС - Вариант 2 k-1