Алгебра за 7 класс Мерзляк Учебник Алгоритм успеха Углубленный уровень Вентана-граф §20 20.12
Решебник / §20 / 20.12

§1. Введение в алгебру
§2. Линейное уравнение с одной переменной
§3. Решение задач с помощью уравнений
§4. Тождественно равные выражения. Тождества
§5. Степень с натуральным показателем
§6. Свойства степени с натуральным показателем
6.1
6.2
6.3
6.4
6.5
6.6
6.7
6.8
6.9
6.10
6.11
6.12
6.13
6.14
6.15
6.16
6.17
6.18
6.19
6.20
6.21
6.22
6.23
6.24
6.25
6.26
6.27
6.28
6.29
6.30
6.31
6.32
6.33
6.34
6.35
6.36
6.37
6.38
6.39
6.40
6.41
6.42
6.43
6.44
6.45
6.46
6.47
6.48
6.49
6.50
6.51
6.52
6.53
6.54
6.55
6.56
6.57
6.58
6.59
6.60
6.61
6.62
§7. Одночлены
§8. Многочлены
§9. Сложение и вычитание многочленов
§10. Умножение одночлена на многочлен
§11. Умножение многочлена на многочлен
§12. Разложение многочленов на множители. Вынесение общего множителя за скобки
§13. Разложение многочленов на множители. Метод группировки
§14. Произведение разности и суммы двух выражений
§15. Разность квадратов двух выражений
§16. Квадрат суммы и квадрат разности двух выражений. Квадрат суммы нескольких выражений
16.1
16.2
16.3
16.4
16.5
16.6
16.7
16.8
16.9
16.10
16.11
16.12
16.13
16.14
16.15
16.16
16.17
16.18
16.19
16.20
16.21
16.22
16.23
16.24
16.25
16.26
16.27
16.28
16.29
16.30
16.31
16.32
16.33
16.34
16.35
16.36
16.37
16.38
16.39
16.40
16.41
16.42
16.43
16.44
16.45
16.46
16.47
16.48
16.49
16.50
16.51
16.52
16.53
§17. Преобразование многочлена в квадрат суммы или разности двух выражений либо в квадрат суммы нескольких выражений
17.1
17.2
17.3
17.4
17.5
17.6
17.7
17.8
17.9
17.10
17.11
17.12
17.13
17.14
17.15
17.16
17.17
17.18
17.19
17.20
17.21
17.22
17.23
17.24
17.25
17.26
17.27
17.28
17.29
17.30
17.31
17.32
17.33
17.34
17.35
17.36
17.37
17.38
17.39
17.40
17.41
17.42
17.43
17.44
17.45
17.46
17.47
17.48
17.49
17.50
17.51
17.52
17.53
17.54
17.55
17.56
17.57
17.58
17.59
17.60
17.61
17.62
§18. Сумма и разность кубов двух выражений
§19. Куб суммы и куб разности двух выражений
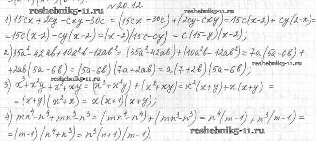
§20. Применение различных способов разложения многочлена на множители
§21. Формулы для разложения на множители выражений вида a^n-b^n и a^n+b^n
§22. Множество и его элементы
§23. Связи между величинами. Функция
§24. Способы задания функции
§25. График функции
§26. Линейная функция, её график и свойства
26.1
26.2
26.3
26.4
26.5
26.6
26.7
26.8
26.9
26.10
26.11
26.12
26.13
26.14
26.15
26.16
26.17
26.18
26.19
26.20
26.21
26.22
26.23
26.24
26.25
26.26
26.27
26.28
26.29
26.30
26.31
26.32
26.33
26.34
26.35
26.36
26.37
26.38
26.39
26.40
26.41
26.42
26.43
26.44
26.45
26.46
26.47
26.48
26.49
26.50
26.51
26.52
26.53
26.54
26.55
26.56
26.57
26.58
26.59
26.60
26.61
26.62
26.63
§27. Уравнения с двумя переменными
§28. Линейное уравнение с двумя переменными и его график
28.1
28.2
28.3
28.4
28.5
28.6
28.7
28.8
28.9
28.10
28.11
28.12
28.13
28.14
28.15
28.16
28.17
28.18
28.19
28.20
28.21
28.22
28.23
28.24
28.25
28.26
28.27
28.28
28.29
28.30
28.31
28.32
28.33
28.34
28.35
28.36
28.37
28.38
28.39
28.40
28.41
28.42
28.43
28.44
28.45
28.46
28.47
28.48
28.49
28.50
28.51
28.52
28.53
28.54
§29. Системы уравнений с двумя переменными. Графический метод решения системы двух линейных уравнений с двумя переменными
§30. Решение систем линейных уравнений методом подстановки
§31. Решение систем линейных уравнений методом сложения
§32. Решение задач с помощью систем линейных уравнений
32.1
32.2
32.3
32.4
32.5
32.6
32.7
32.8
32.9
32.10
32.12
32.13
32.14
32.15
32.16
32.17
32.18
32.19
32.20
32.21
32.22
32.23
32.24
32.25
32.26
32.27
32.28
32.29
32.30
32.31
32.32
32.33
32.34
32.35
32.36
32.37
32.38
32.39
32.40
32.41
32.42
32.43
32.44
32.45
32.46
32.47
32.48
32.49
32.50
32.51
32.52
32.53
32.54
32.55
32.56
32.57
32.58
32.59
§33. Основные правила комбинаторики
§34. Начальные сведения о статистике
Готовая домашняя работа с ответами по Алгебре за 7 класс Мерзляк, Поляков Учебник Алгоритм успеха Углубленный уровень Вентана-граф 2019 ФГОС - §20. Применение различных способов разложения многочлена на множители 20.12