Алгебра за 7 класс Мерзляк Учебник Алгоритм успеха Углубленный уровень Вентана-граф §20 20.13
Решебник / §20 / 20.13
 
                                §1. Введение в алгебру
§2. Линейное уравнение с одной переменной
§3. Решение задач с помощью уравнений
§4. Тождественно равные выражения. Тождества
§5. Степень с натуральным показателем
§6. Свойства степени с натуральным показателем
                                    
                        6.1
                    
                                    
                        6.2
                    
                                    
                        6.3
                    
                                    
                        6.4
                    
                                    
                        6.5
                    
                                    
                        6.6
                    
                                    
                        6.7
                    
                                    
                        6.8
                    
                                    
                        6.9
                    
                                    
                        6.10
                    
                                    
                        6.11
                    
                                    
                        6.12
                    
                                    
                        6.13
                    
                                    
                        6.14
                    
                                    
                        6.15
                    
                                    
                        6.16
                    
                                    
                        6.17
                    
                                    
                        6.18
                    
                                    
                        6.19
                    
                                    
                        6.20
                    
                                    
                        6.21
                    
                                    
                        6.22
                    
                                    
                        6.23
                    
                                    
                        6.24
                    
                                    
                        6.25
                    
                                    
                        6.26
                    
                                    
                        6.27
                    
                                    
                        6.28
                    
                                    
                        6.29
                    
                                    
                        6.30
                    
                                    
                        6.31
                    
                                    
                        6.32
                    
                                    
                        6.33
                    
                                    
                        6.34
                    
                                    
                        6.35
                    
                                    
                        6.36
                    
                                    
                        6.37
                    
                                    
                        6.38
                    
                                    
                        6.39
                    
                                    
                        6.40
                    
                                    
                        6.41
                    
                                    
                        6.42
                    
                                    
                        6.43
                    
                                    
                        6.44
                    
                                    
                        6.45
                    
                                    
                        6.46
                    
                                    
                        6.47
                    
                                    
                        6.48
                    
                                    
                        6.49
                    
                                    
                        6.50
                    
                                    
                        6.51
                    
                                    
                        6.52
                    
                                    
                        6.53
                    
                                    
                        6.54
                    
                                    
                        6.55
                    
                                    
                        6.56
                    
                                    
                        6.57
                    
                                    
                        6.58
                    
                                    
                        6.59
                    
                                    
                        6.60
                    
                                    
                        6.61
                    
                                    
                        6.62
                    
                            
                    §7. Одночлены
§8. Многочлены
§9. Сложение и вычитание многочленов
§10. Умножение одночлена на многочлен
§11. Умножение многочлена на многочлен
§12. Разложение многочленов на множители. Вынесение общего множителя за скобки
§13. Разложение многочленов на множители. Метод группировки
§14. Произведение разности и суммы двух выражений
§15. Разность квадратов двух выражений
§16. Квадрат суммы и квадрат разности двух выражений. Квадрат суммы нескольких выражений
                                    
                        16.1
                    
                                    
                        16.2
                    
                                    
                        16.3
                    
                                    
                        16.4
                    
                                    
                        16.5
                    
                                    
                        16.6
                    
                                    
                        16.7
                    
                                    
                        16.8
                    
                                    
                        16.9
                    
                                    
                        16.10
                    
                                    
                        16.11
                    
                                    
                        16.12
                    
                                    
                        16.13
                    
                                    
                        16.14
                    
                                    
                        16.15
                    
                                    
                        16.16
                    
                                    
                        16.17
                    
                                    
                        16.18
                    
                                    
                        16.19
                    
                                    
                        16.20
                    
                                    
                        16.21
                    
                                    
                        16.22
                    
                                    
                        16.23
                    
                                    
                        16.24
                    
                                    
                        16.25
                    
                                    
                        16.26
                    
                                    
                        16.27
                    
                                    
                        16.28
                    
                                    
                        16.29
                    
                                    
                        16.30
                    
                                    
                        16.31
                    
                                    
                        16.32
                    
                                    
                        16.33
                    
                                    
                        16.34
                    
                                    
                        16.35
                    
                                    
                        16.36
                    
                                    
                        16.37
                    
                                    
                        16.38
                    
                                    
                        16.39
                    
                                    
                        16.40
                    
                                    
                        16.41
                    
                                    
                        16.42
                    
                                    
                        16.43
                    
                                    
                        16.44
                    
                                    
                        16.45
                    
                                    
                        16.46
                    
                                    
                        16.47
                    
                                    
                        16.48
                    
                                    
                        16.49
                    
                                    
                        16.50
                    
                                    
                        16.51
                    
                                    
                        16.52
                    
                                    
                        16.53
                    
                            
                    §17. Преобразование многочлена в квадрат суммы или разности двух выражений либо в квадрат суммы нескольких выражений
                                    
                        17.1
                    
                                    
                        17.2
                    
                                    
                        17.3
                    
                                    
                        17.4
                    
                                    
                        17.5
                    
                                    
                        17.6
                    
                                    
                        17.7
                    
                                    
                        17.8
                    
                                    
                        17.9
                    
                                    
                        17.10
                    
                                    
                        17.11
                    
                                    
                        17.12
                    
                                    
                        17.13
                    
                                    
                        17.14
                    
                                    
                        17.15
                    
                                    
                        17.16
                    
                                    
                        17.17
                    
                                    
                        17.18
                    
                                    
                        17.19
                    
                                    
                        17.20
                    
                                    
                        17.21
                    
                                    
                        17.22
                    
                                    
                        17.23
                    
                                    
                        17.24
                    
                                    
                        17.25
                    
                                    
                        17.26
                    
                                    
                        17.27
                    
                                    
                        17.28
                    
                                    
                        17.29
                    
                                    
                        17.30
                    
                                    
                        17.31
                    
                                    
                        17.32
                    
                                    
                        17.33
                    
                                    
                        17.34
                    
                                    
                        17.35
                    
                                    
                        17.36
                    
                                    
                        17.37
                    
                                    
                        17.38
                    
                                    
                        17.39
                    
                                    
                        17.40
                    
                                    
                        17.41
                    
                                    
                        17.42
                    
                                    
                        17.43
                    
                                    
                        17.44
                    
                                    
                        17.45
                    
                                    
                        17.46
                    
                                    
                        17.47
                    
                                    
                        17.48
                    
                                    
                        17.49
                    
                                    
                        17.50
                    
                                    
                        17.51
                    
                                    
                        17.52
                    
                                    
                        17.53
                    
                                    
                        17.54
                    
                                    
                        17.55
                    
                                    
                        17.56
                    
                                    
                        17.57
                    
                                    
                        17.58
                    
                                    
                        17.59
                    
                                    
                        17.60
                    
                                    
                        17.61
                    
                                    
                        17.62
                    
                            
                    §18. Сумма и разность кубов двух выражений
§19. Куб суммы и куб разности двух выражений
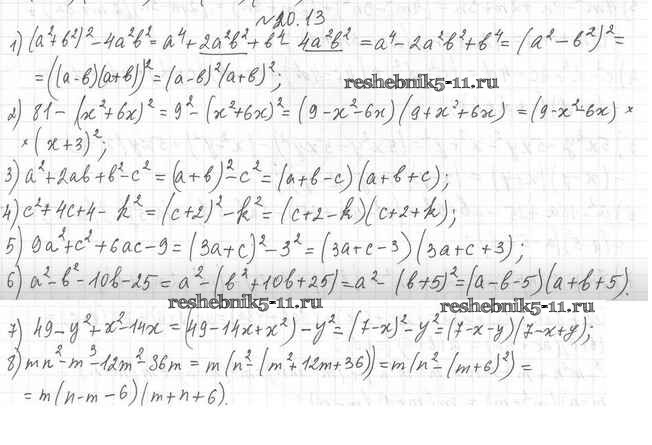
§20. Применение различных способов разложения многочлена на множители
§21. Формулы для разложения на множители выражений вида a^n-b^n и a^n+b^n
§22. Множество и его элементы
§23. Связи между величинами. Функция
§24. Способы задания функции
§25. График функции
§26. Линейная функция, её график и свойства
                                    
                        26.1
                    
                                    
                        26.2
                    
                                    
                        26.3
                    
                                    
                        26.4
                    
                                    
                        26.5
                    
                                    
                        26.6
                    
                                    
                        26.7
                    
                                    
                        26.8
                    
                                    
                        26.9
                    
                                    
                        26.10
                    
                                    
                        26.11
                    
                                    
                        26.12
                    
                                    
                        26.13
                    
                                    
                        26.14
                    
                                    
                        26.15
                    
                                    
                        26.16
                    
                                    
                        26.17
                    
                                    
                        26.18
                    
                                    
                        26.19
                    
                                    
                        26.20
                    
                                    
                        26.21
                    
                                    
                        26.22
                    
                                    
                        26.23
                    
                                    
                        26.24
                    
                                    
                        26.25
                    
                                    
                        26.26
                    
                                    
                        26.27
                    
                                    
                        26.28
                    
                                    
                        26.29
                    
                                    
                        26.30
                    
                                    
                        26.31
                    
                                    
                        26.32
                    
                                    
                        26.33
                    
                                    
                        26.34
                    
                                    
                        26.35
                    
                                    
                        26.36
                    
                                    
                        26.37
                    
                                    
                        26.38
                    
                                    
                        26.39
                    
                                    
                        26.40
                    
                                    
                        26.41
                    
                                    
                        26.42
                    
                                    
                        26.43
                    
                                    
                        26.44
                    
                                    
                        26.45
                    
                                    
                        26.46
                    
                                    
                        26.47
                    
                                    
                        26.48
                    
                                    
                        26.49
                    
                                    
                        26.50
                    
                                    
                        26.51
                    
                                    
                        26.52
                    
                                    
                        26.53
                    
                                    
                        26.54
                    
                                    
                        26.55
                    
                                    
                        26.56
                    
                                    
                        26.57
                    
                                    
                        26.58
                    
                                    
                        26.59
                    
                                    
                        26.60
                    
                                    
                        26.61
                    
                                    
                        26.62
                    
                                    
                        26.63
                    
                            
                    §27. Уравнения с двумя переменными
§28. Линейное уравнение с двумя переменными и его график
                                    
                        28.1
                    
                                    
                        28.2
                    
                                    
                        28.3
                    
                                    
                        28.4
                    
                                    
                        28.5
                    
                                    
                        28.6
                    
                                    
                        28.7
                    
                                    
                        28.8
                    
                                    
                        28.9
                    
                                    
                        28.10
                    
                                    
                        28.11
                    
                                    
                        28.12
                    
                                    
                        28.13
                    
                                    
                        28.14
                    
                                    
                        28.15
                    
                                    
                        28.16
                    
                                    
                        28.17
                    
                                    
                        28.18
                    
                                    
                        28.19
                    
                                    
                        28.20
                    
                                    
                        28.21
                    
                                    
                        28.22
                    
                                    
                        28.23
                    
                                    
                        28.24
                    
                                    
                        28.25
                    
                                    
                        28.26
                    
                                    
                        28.27
                    
                                    
                        28.28
                    
                                    
                        28.29
                    
                                    
                        28.30
                    
                                    
                        28.31
                    
                                    
                        28.32
                    
                                    
                        28.33
                    
                                    
                        28.34
                    
                                    
                        28.35
                    
                                    
                        28.36
                    
                                    
                        28.37
                    
                                    
                        28.38
                    
                                    
                        28.39
                    
                                    
                        28.40
                    
                                    
                        28.41
                    
                                    
                        28.42
                    
                                    
                        28.43
                    
                                    
                        28.44
                    
                                    
                        28.45
                    
                                    
                        28.46
                    
                                    
                        28.47
                    
                                    
                        28.48
                    
                                    
                        28.49
                    
                                    
                        28.50
                    
                                    
                        28.51
                    
                                    
                        28.52
                    
                                    
                        28.53
                    
                                    
                        28.54
                    
                            
                    §29. Системы уравнений с двумя переменными. Графический метод решения системы двух линейных уравнений с двумя переменными
§30. Решение систем линейных уравнений методом подстановки
§31. Решение систем линейных уравнений методом сложения
§32. Решение задач с помощью систем линейных уравнений
                                    
                        32.1
                    
                                    
                        32.2
                    
                                    
                        32.3
                    
                                    
                        32.4
                    
                                    
                        32.5
                    
                                    
                        32.6
                    
                                    
                        32.7
                    
                                    
                        32.8
                    
                                    
                        32.9
                    
                                    
                        32.10
                    
                                    
                        32.12
                    
                                    
                        32.13
                    
                                    
                        32.14
                    
                                    
                        32.15
                    
                                    
                        32.16
                    
                                    
                        32.17
                    
                                    
                        32.18
                    
                                    
                        32.19
                    
                                    
                        32.20
                    
                                    
                        32.21
                    
                                    
                        32.22
                    
                                    
                        32.23
                    
                                    
                        32.24
                    
                                    
                        32.25
                    
                                    
                        32.26
                    
                                    
                        32.27
                    
                                    
                        32.28
                    
                                    
                        32.29
                    
                                    
                        32.30
                    
                                    
                        32.31
                    
                                    
                        32.32
                    
                                    
                        32.33
                    
                                    
                        32.34
                    
                                    
                        32.35
                    
                                    
                        32.36
                    
                                    
                        32.37
                    
                                    
                        32.38
                    
                                    
                        32.39
                    
                                    
                        32.40
                    
                                    
                        32.41
                    
                                    
                        32.42
                    
                                    
                        32.43
                    
                                    
                        32.44
                    
                                    
                        32.45
                    
                                    
                        32.46
                    
                                    
                        32.47
                    
                                    
                        32.48
                    
                                    
                        32.49
                    
                                    
                        32.50
                    
                                    
                        32.51
                    
                                    
                        32.52
                    
                                    
                        32.53
                    
                                    
                        32.54
                    
                                    
                        32.55
                    
                                    
                        32.56
                    
                                    
                        32.57
                    
                                    
                        32.58
                    
                                    
                        32.59
                    
                            
                    §33. Основные правила комбинаторики
§34. Начальные сведения о статистике
Готовая домашняя работа с ответами по Алгебре за 7 класс Мерзляк, Поляков Учебник Алгоритм успеха Углубленный уровень Вентана-граф 2019 ФГОС - §20. Применение различных способов разложения многочлена на множители 20.13