Алгебра за 8 класс Звавич Дидактические материалы УМК Экзамен кр-10 Вариант 2

Решебник / контрольная работа / кр-10 / вариант 2

Контрольные работы

КР-1. Сокращение, сложение и вычитание алгебраических дробей

КР-2. Умножение и деление, совместные действия с алгебраическими дробями

КР-3. Квадратные корни

КР-4. Свойства квадратных корней

КР-5. Квадратные уравнения

КР-6. Уравнения, сводящиеся к квадратным. Теорема Виета

КР-7. Текстовые задачи, сводящиеся к квадратным уравнениям

КР-8. Решение линейных неравенств

КР-9. Системы линейных неравенств

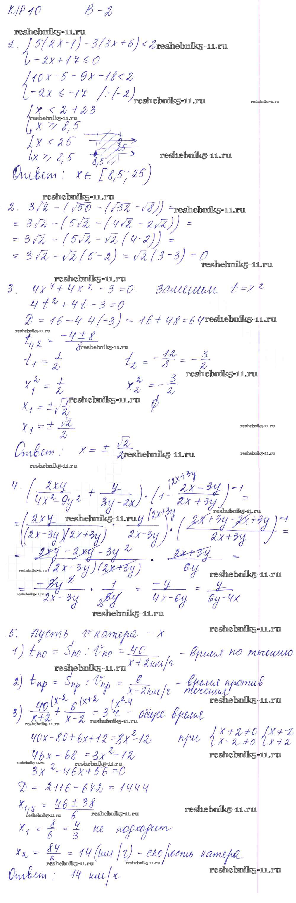
КР-10. Итоговая

Приложения

Билеты к устному зачёту

Практические работы. Элементы статистики

Упражнения с параметрами

Вариант 1

Вариант 2

Самостоятельные работы. Варианты

СР - 1. Понятие алгебраической дроби

СР - 2. Основное свойство дроби. Сокращение алгебраических дробей

СР - 3. Сложение и вычитание алгебраических дробей с одинаковыми знаменателями

СР - 4. Сложение и вычитание алгебраических дробей с разными знаменателями

СР - 5. Умножение алгебраических дробей, возведение в степень

СР - 6. Деление алгебраических дробей

СР - 7. Совместные действия с алгебраическими дробями

СР - 8. Функция y = k:x и её график

СР - 9. Арифметический квадратный корень

СР - 10. Уравнение x2 = a

СР - 11. Значение квадратного корня. Функция y = √x и её свойства

СР - 12. Корень из произведения и частного, произведение и частное квадратных корней

СР - 13. Корень из степени, возведение корня в степень

СР - 14. Вынесение множителя из-под знака корня

СР - 15. Внесение множителя под знак корня

СР - 16. Действия с корнями

СР - 17. Квадратные корни

СР - 18. Неполные квадратные уравнения

СР - 19. Формула корней квадратного уравнения

СР - 20. Решение квадратных уравнений и их применение для решения задач

СР - 21. Квадратные уравнения

СР - 22. Теорема Виета

СР - 23. Дробно-рациональные уравнения

СР - 24. Текстовые задачи

СР - 25. Числовые неравенства

СР - 26. Числовые неравенства, свойства числовых неравенств. Оценка значения выражений

СР - 27. Числовые промежутки

СР - 28. Решение неравенств с одной переменной

СР - 29. Задания, приводящие к неравенствам с одной переменной

СР - 30. Применение неравенств к исследованию функций

СР - 31. Решение систем неравенств

СР - 32. Задания, приводящие к системам неравенств с одной переменной

СР - 33. Степень с целым показателем

СР - 34. Задания, аналогичные заданиям ГИА и ЕГЭ, за курс алгебры

Готовая домашняя работа с ответами по Алгебре за 8 класс Звавич, Дьяконова Дидактические материалы УМК Экзамен 2015 ФГОС - КР-10. Итоговая Вариант 2