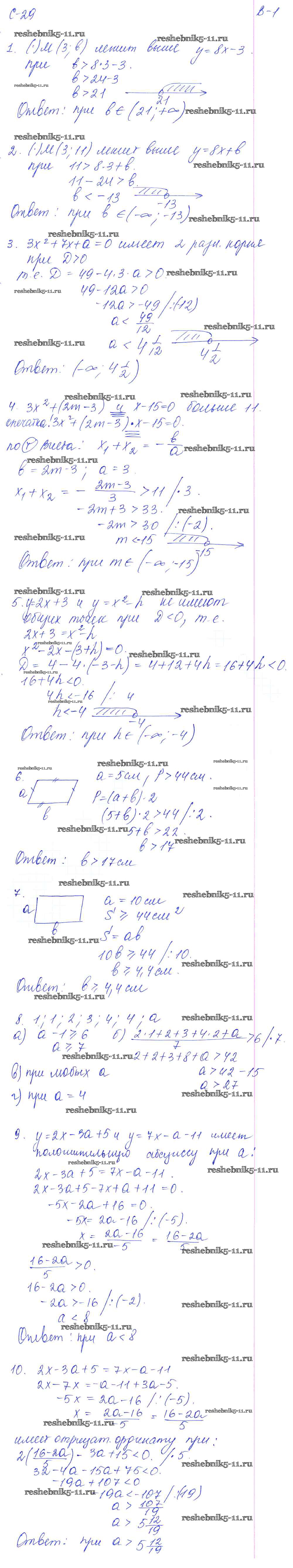
Алгебра за 8 класс Звавич Дидактические материалы УМК Экзамен ср - 29. вариант 1
Решебник / самостоятельная работа / ср - 29. вариант / 1

Контрольные работы
КР-1. Сокращение, сложение и вычитание алгебраических дробей
КР-2. Умножение и деление, совместные действия с алгебраическими дробями
КР-3. Квадратные корни
КР-4. Свойства квадратных корней
КР-5. Квадратные уравнения
КР-6. Уравнения, сводящиеся к квадратным. Теорема Виета
КР-7. Текстовые задачи, сводящиеся к квадратным уравнениям
КР-8. Решение линейных неравенств
КР-9. Системы линейных неравенств
КР-10. Итоговая
Приложения
Билеты к устному зачёту
Практические работы. Элементы статистики
Упражнения с параметрами
Вариант 1
Вариант 2
Самостоятельные работы. Варианты
СР - 1. Понятие алгебраической дроби
СР - 2. Основное свойство дроби. Сокращение алгебраических дробей
СР - 3. Сложение и вычитание алгебраических дробей с одинаковыми знаменателями
СР - 4. Сложение и вычитание алгебраических дробей с разными знаменателями
СР - 5. Умножение алгебраических дробей, возведение в степень
СР - 6. Деление алгебраических дробей
СР - 7. Совместные действия с алгебраическими дробями
СР - 8. Функция y = k:x и её график
СР - 9. Арифметический квадратный корень
СР - 10. Уравнение x2 = a
СР - 11. Значение квадратного корня. Функция y = √x и её свойства
СР - 12. Корень из произведения и частного, произведение и частное квадратных корней
СР - 13. Корень из степени, возведение корня в степень
СР - 14. Вынесение множителя из-под знака корня
СР - 15. Внесение множителя под знак корня
СР - 16. Действия с корнями
СР - 17. Квадратные корни
СР - 18. Неполные квадратные уравнения
СР - 19. Формула корней квадратного уравнения
СР - 20. Решение квадратных уравнений и их применение для решения задач
СР - 21. Квадратные уравнения
СР - 22. Теорема Виета
СР - 23. Дробно-рациональные уравнения
СР - 24. Текстовые задачи
СР - 25. Числовые неравенства
СР - 26. Числовые неравенства, свойства числовых неравенств. Оценка значения выражений
СР - 27. Числовые промежутки
СР - 28. Решение неравенств с одной переменной
СР - 29. Задания, приводящие к неравенствам с одной переменной
СР - 30. Применение неравенств к исследованию функций
СР - 31. Решение систем неравенств
СР - 32. Задания, приводящие к системам неравенств с одной переменной
СР - 33. Степень с целым показателем
СР - 34. Задания, аналогичные заданиям ГИА и ЕГЭ, за курс алгебры
Готовая домашняя работа с ответами по Алгебре за 8 класс Звавич, Дьяконова Дидактические материалы УМК Экзамен 2015 ФГОС - СР - 29. Задания, приводящие к неравенствам с одной переменной 1