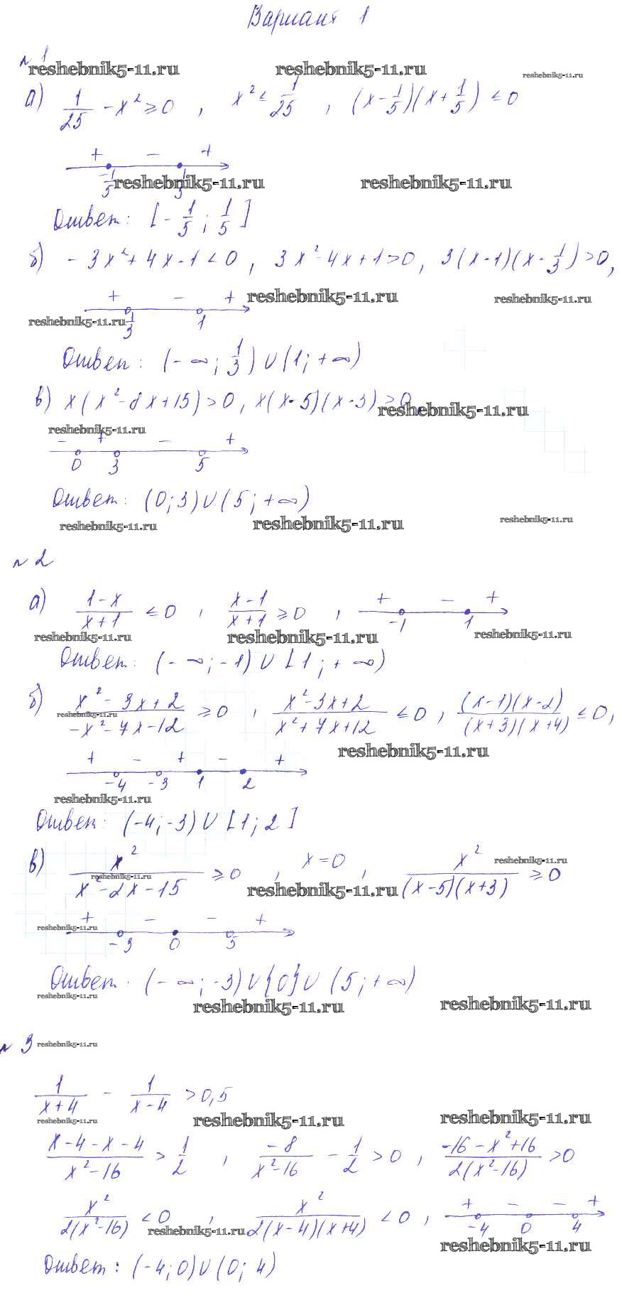
Алгебра за 8 класс Зив Дидактические материалы Виктория плюс ср №17 Вариант-1

Решебник / самостоятельная работа / ср №17 / вариант-1

Контрольные работы

КР №1. Неравенства. Варианты

КР №2. Арифметический квадратный корень. Варианты

КР №3. Квадратные корни. Варианты

КР №4. Квадратные уравнения. Варианты

КР №5. Квадратичная функция. Варианты

КР №6. Итоговая. Варианты

Самостоятельные работы

СР №1. Положительные и отрицательные числа. Числовые неравенства

СР №2. Свойства числовых неравенств. Сложение и умножение неравенств

СР №3. Решение неравенств. Числовые промежутки

СР №4. Системы неравенств

СР №5.Модуль числа. Уравнения и неравенства, содержащие модуль

СР №6. Действительные числа. Арифметический квадратный корень

СР №7. Квадратный корень из произведения и дроби

СР №8. Упражнения на все действия с арифметическими корнями

СР №9. Неполные квадратные уравнения

СР №10. Решение квадратных уравнений

СР №11. Теорема Виета

СР №12. Уравнения, сводящиеся к квадратным

СР №13. Решение задач с помощью квадратных уравнений

СР №14. Квадратичная функция

СР №15. Квадратные неравенства

СР №16. Метод интервалов

СР №17. Решение систем 2-й степени

Готовая домашняя работа с ответами по Алгебре за 8 класс Зив, Гольдич Дидактические материалы Виктория плюс 2012 ФГОС - СР №17. Решение систем 2-й степени Вариант-1