Алгебра за 8 класс Зив Дидактические материалы Виктория плюс ср №8 Вариант-7
Решебник / самостоятельная работа / ср №8 / вариант-7
                                Контрольные работы
КР №1. Неравенства. Варианты
КР №2. Арифметический квадратный корень. Варианты
КР №3. Квадратные корни. Варианты
КР №4. Квадратные уравнения. Варианты
КР №5. Квадратичная функция. Варианты
КР №6. Итоговая. Варианты
Самостоятельные работы
СР №1. Положительные и отрицательные числа. Числовые неравенства
СР №2. Свойства числовых неравенств. Сложение и умножение неравенств
СР №3. Решение неравенств. Числовые промежутки
СР №4. Системы неравенств
СР №5.Модуль числа. Уравнения и неравенства, содержащие модуль
СР №6. Действительные числа. Арифметический квадратный корень
СР №7. Квадратный корень из произведения и дроби
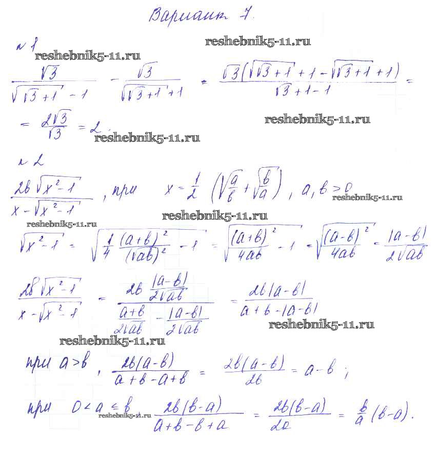
СР №8. Упражнения на все действия с арифметическими корнями
СР №9. Неполные квадратные уравнения
СР №10. Решение квадратных уравнений
СР №11. Теорема Виета
СР №12. Уравнения, сводящиеся к квадратным
СР №13. Решение задач с помощью квадратных уравнений
СР №14. Квадратичная функция
СР №15. Квадратные неравенства
СР №16. Метод интервалов
СР №17. Решение систем 2-й степени
Готовая домашняя работа с ответами по Алгебре за 8 класс Зив, Гольдич Дидактические материалы Виктория плюс 2012 ФГОС - СР №8. Упражнения на все действия с арифметическими корнями Вариант-7