Алгебра за 8 класс Ткачева Дидактические материалы Просвещение параграф 17
Решебник / параграф / 17

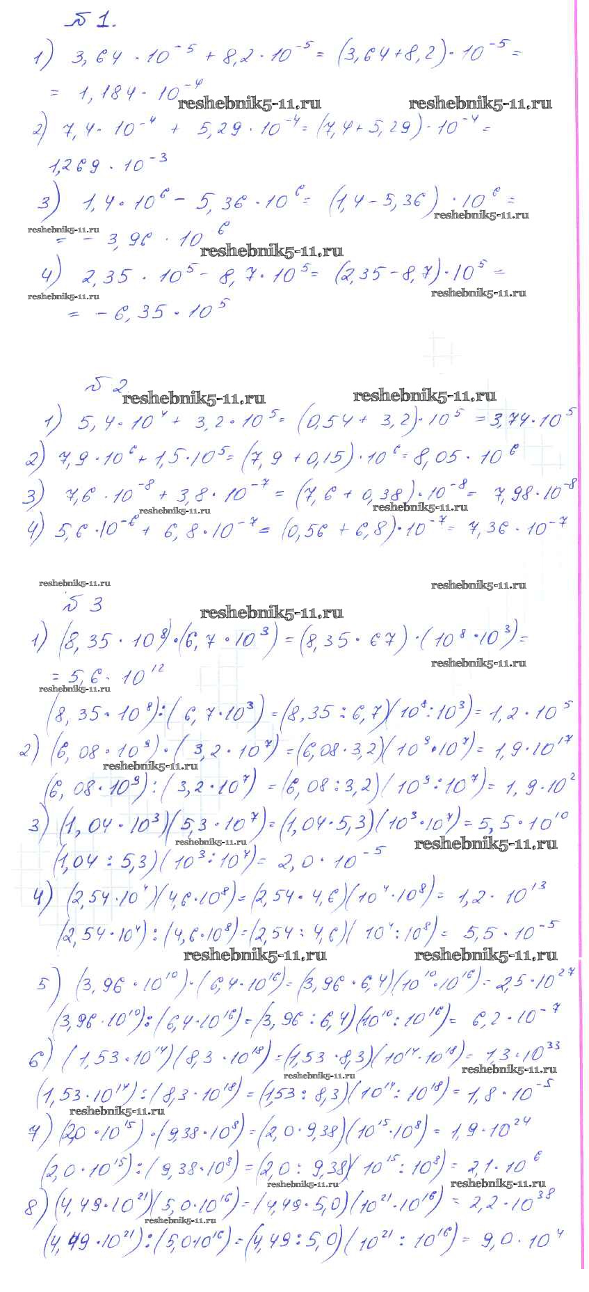
Готовая домашняя работа с ответами по Алгебре за 8 класс Ткачева, Федорова, Шабунин Дидактические материалы Просвещение 2013 ФГОС - Параграфы 17
Готовая домашняя работа с ответами по Алгебре за 8 класс Ткачева, Федорова, Шабунин Дидактические материалы Просвещение 2013 ФГОС - Параграфы 17